Foro de preguntas y respuestas de Matemáticas

logo beUnicoos
Los foros de unicoos se han unificado en nuestra nueva plataforma beUnicoos. Para dejar nuevas preguntas deberás hacerlo allí, donde además podrás encontrar nuevas asignaturas y herramientas para ayudarte más con tus estudios.

  • Usuario eliminado
    el 9/5/17

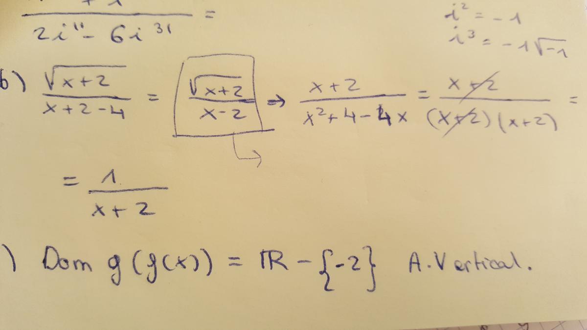
    Buenas tardes, estoy algo atascado con el ejercisio 8 y 9, ambos son bastante parecidos en las cuestiones, pero estoy encontrando problemas para averiguar la matriz por los cálculos. Si alguien pudiera ayudarme son estos:


    Muchas gracias, buena tarde de martes.

    replythumb_up0 voto/sflag
    icon

    Antonius Benedictus
    el 9/5/17


    thumb_up0 voto/sflag
    icon

    Antonius Benedictus
    el 9/5/17


    thumb_up0 voto/sflag
  • Usuario eliminado
    el 9/5/17

    hola de vuelta tengo un problema con este sistema de ecuaciones  x+y+z=1

                                                                                                                            -2x+2y+z=0

    lo tengo que resolver por gauss averiguar  los rangos de la matriz de coeficientes y la ampliada y escribir su conjunto solución ademas de verificarlo 

    muchas gracias



    replythumb_up0 voto/sflag
    icon

    Antonius Benedictus
    el 9/5/17


    thumb_up0 voto/sflag
  • icon

    Judith
    el 9/5/17

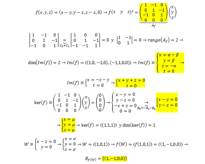
    ¿Estaría bien resuelto el 4. b) y c)?

    Gracias😊

    replythumb_up0 voto/sflag
    icon

    Guillem Figols
    el 9/5/17

    Sii

    thumb_up1 voto/sflag
  • icon

    Judith
    el 9/5/17

    Hola, hoy he hecho un examen y me he atascado en este ejercicio. ¿Me podrías corregir?

    Gracias😊

    replythumb_up0 voto/sflag
    icon

    Neofito 007
    el 9/5/17


    thumb_up1 voto/sflag
  • icon

    lbp_14
    el 9/5/17

    Hola Unicoos, me podrían decir donde tengo el fallo? 

    Muchísimas gracias.


    replythumb_up0 voto/sflag
    icon

    Neofito 007
    el 9/5/17


    thumb_up1 voto/sflag
  • icon

    lbp_14
    el 9/5/17

    Hola unicoos me pueden ayudar paso a paso con esta derivada, no me sale.

    y respondan a mis dudas por favor: xx es elemental verdad? pero x1/x no es elemental porque la x no está sola no ?? 

    Muchas gracias 


    replythumb_up0 voto/sflag
    icon

    Neofito 007
    el 9/5/17


    thumb_up1 voto/sflag
  • icon

    andres
    el 9/5/17

    Buenas necesito ayuda con un ejercicio de probabilidad condicionada. La probabilidad de un cierto suceso es de 1/3 y la probabilidad de otro, sabiendo que ocurre el primero, es 3/4. ¿Cuál es la probabilidad de que pasen ambos?

    replythumb_up0 voto/sflag
    icon

    Antonius Benedictus
    el 9/5/17

    p(A∩B)=p(A)·p(B/A)=(1/3)·(3/4)=1/4 

    thumb_up0 voto/sflag
  • Usuario eliminado
    el 9/5/17

    Atascado con este tipo de ejercicio, ayuda de por donde debo tirar, Gracias.


    Ejercicio 10º:


    replythumb_up0 voto/sflag
    icon

    Victor
    el 9/5/17

    Debes multiplicar cada uno de los componentes del vector a por el número -3.

    Debes multiplicar cada uno de los componentes del vector b por el número 2.

    El resultado lo sumas. Las x con las x y las y con las y.




    thumb_up1 voto/sflag
    icon

    gonzalezlbl
    el 9/5/17

    -3 a + 2 b = -3 (2, -3) + 2 ( -½ , 2) =

                        = (-3×2, -3×(-3)) + ( 2×(-½) , 2×2) =

                        = (-6, 9) + ( -1 , 4) =
                        = (-6 -1, 9 + 4)


    -3 a + 2 b = (-7, 13)

    thumb_up1 voto/sflag
  • icon

    verónica
    el 9/5/17

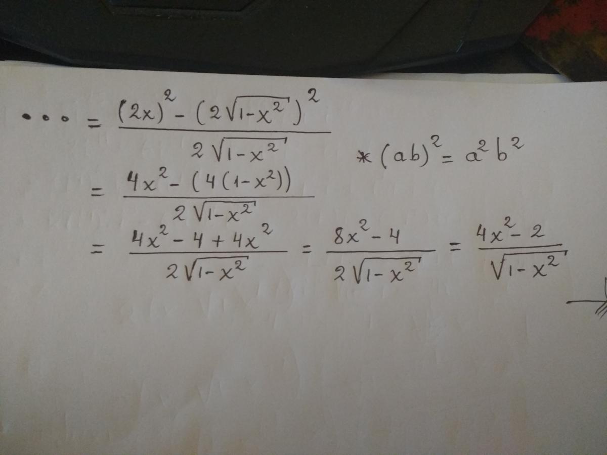
    ¿ Me podríais ayudar con este ejercicio de derivadas de primero de bachillerato?

    replythumb_up0 voto/sflag
    icon

    ALOFRE
    el 9/5/17

    No me queda muy claro lo que te está pidiendo, pero si es

    a) f´(2), sería 0 puesto que es un máximo y no hay variación (pendiente de la recta tangente, 0)

    b) Aquí ya no estoy muy seguro pero si la recta y=-3.75x-1 tiene como pendiente -3.75 este debería ser el valor de la razón de cambio en este punto (-1/2). Espero que te haya servido.


    thumb_up0 voto/sflag
  • icon

    Daniela93
    el 9/5/17

    SE PUEDE HALLAR LA MATRIZ "A" APARTIR DE SOLO LOS AUTOVALORES??? A=P*D*P^-1 


    replythumb_up0 voto/sflag
    icon

    Antonius Benedictus
    el 9/5/17

    No, pues necesitas los autovectores independientes para P.

    thumb_up1 voto/sflag