El teorema fundamental del cálculo dice:
Dada una función f integrable sobre el intervalo [a, b], definimos F sobre [a, b] por F(x) = ∫0xƒ(t) dt
Si ƒ es continua en (a, b) entonces F es derivable en c y F'(c) = ƒ(c).
Para la función F(x) = ∫0x (2 + cos t2) dt
la pendiente de la recta tangente, mT, viene dada por
mT(x) = F'(x) = 2 + cos x2 (debido al teorema fundamental del cálculo)
En el punto de abcisa x = 0, la pendiente de la tangente es
mT (0) = F'(0) = 2 + cos(02) = 2 + 1 =
mT (0) = 3
El punto de tangencia tiene abcisa x=0. Para hallar la ordenada y es:
yT = F(0) = ∫00 (2 + cos t2) dt = 0 (nótese que los límites de integración son iguales)
yT = 0
Así, la recta tangente viene dada por
y - yT = mT ( x - xT )
y - 0 = 3 ( x - 0 )
y = 3x
hola como va? alguien sabe como resolver este ejercicio de matrices . dada M= k -1 k
1 k^2 -1
3 3 1
para que valores de K, la matriz M es invertible?

Para que M tenga inversa es condición indispensable que el determinante de M no sea igual a 0. De tal manera, calculamos el determinante de M con el parámetro k.
Me da como solución una ecuación de tercer grado.
-2k^3 + 6k + 4
Igualamos la ecuación a 0. Me sale como resultado 2 y -1.
Tenemos pues, que para todos los valores de k pertenecientes a los números reales excepto 2 y -1, la matriz M tendrá inversa.
Lo he hecho rápido, no sé si me he equivocado en algún paso. De cualquier manera esta es la forma de proceder. Si no sabes resolver las ecuaciones de tercer grado echa un vistazo a los vídeos de ruffini.

Debes conocer que el volumen de un prisma se calcula como
Volumen = (área de base) * altura
Además debes ya conocer cuando te hablan de prisma pentagonal, cuadrangular, hexagonal, etc , eso hace referencia al polígono de la base por ejemplo prisma pentagonal su base es un pentágono ( figura plana cerrada de 5 lados)
Son ejercicios aplicativos directos, Seria bueno ver tus avances (lo que ya hiciste)

Por ejemplo te ayudare con el segundo.
Teoría breve el área de un polígono regular se puede calcular como
Área = (1/2)*(perímetro )*(apotema)
Un pentágono tiene 5 lados, cada lado mide 10 entonces su perímetro es 50
Area = (1/2)*50*(6.9) = 172.5 cm^2
Ahora se calcula el volumen del prisma cuya fórmula está dada en el comentario anterior
Volumen = ( 172.5)*(8) = 1380 cm^3
La misma idea con los demas

El error está al inicio no he revisado lo demás ya que acá me he detenido.
Bien el problema esta en el algoritmo de la división no estas realizando de manera correcta, pequeños detalles, signos, etc
Cuando pones x como primer término en el cociente, al otro lado se debe poner
- x (x^2 - 4x +3) = - x^3 + 4x^2 - 3x
Fijate que eso no es lo que pones, revisa ese algoritmo de la división eso no está bien
Me pueden ayudar?
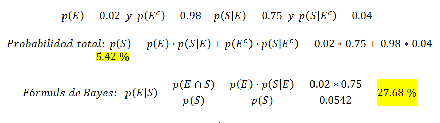
El 2% de una población padece una enfermedad E, existiendo un síntoma S, tal que el 75% de los enfermos presentan el síntoma, mientras que un 4% de los individuos no enfermos presentan el síntoma. Calcular los porcentajes de individuos con el síntoma y de individuos enfermos entre los que presentan el síntoma.
Pregunta b: ¿Porcentaje de individuos enfermos entre los que presentan el síntoma?
Gracias
hola me pueden ayudar con este problema? es facil pero no le eencuentro solucion
Calcular el area de un triangulo equilatero inscrito en una circunferencia de 6cm de radio
Traza los tres radios, uno a cada vértice del triángulo
intenta calcular el área de uno de los 3 triángulos formados y multiplica por tres el resultado
cada uno de los triángulos es isósceles
dibuja un triángulo isósceles de lado igual 6 cm, observa que el ángulo desigual es 60
parte ese triángulo en dos dibujando su altura (desde el vértice donde concurren los lados iguales)
tenemos un triángulo rectángulo donde conocemos un ángulo y la hipotenusa
calcula usando trigonometría un cateto, da lo mismo cual
calcula el otro cateto
usa la formula para calcular el área de ese triángulo
calcula ahora, y por fin, el área del triángulo del ejercicio.

Limite UNO ELEVADO a INFINITO
A partir de ahí, se trata de que DESPUES DE IR A CLASE (ver los vídeos
relacionados con vuestras dudas) enviéis dudas concretas, muy concretas. Y que
nos enviéis también todo aquello que hayais conseguido hacer por vosotros
mismos. Paso a paso, esté bien o mal. No solo el enunciado. De esa manera
podremos saber vuestro nivel, en que podemos ayudaros, cuales son vuestros
fallos.... Y el trabajo duro será el vuestro. Nos cuentas ¿ok? #nosvemosenclase
;-)