Juan pierde los 3/8 de las canicas que tenia con lo cual le quedan 10 ¿ cuantas canicas tenia al principio?
Es una problema de planteamiento de ecuaciones
Gracias

Puedes llamar x a la cantidad inicial de canicas.
Luego planteas:
x - (3/8)x = 10, resuelves el primer miembro y queda:
(5/8)x = 10, haces pasaje de factor como divisor y queda:
x = 10/(5/8) = 16.
Por lo que concluyes que al principio el niño tenía 16 canicas.
Espero haberte ayudado.
La versión cuantitativa de la identidad de Parseval para la serie de Dirichlet
Busco una demostración de la identidad de Parseval para la serie de Dirichlet, si es posible una fuente libre o bien si usted sabe y es posible obtener una idea de la demostración de tal teorema.
Estoy diciendo la versión cuantitativa del teorema de Parseval para la serie de Dirichlet, me refiero al Lema 2.3.5 en la página 48 de este: Granados, La distribución de los ceros de la función zeta De Riemann, (2014), disponible en esta web de la Universidad Autónoma de Madrid. (https://www.uam.es/personal_pdi/ciencias/fchamizo/posgrado/TFM_granados.pdf)
Pregunta. Estoy interesado en los detalles de una demostración de la versión cuantitativa de la identidad de Parseval para la serie de Dirichlet. ¿Sabe alguna referencia donde puedo leerlo (si hay un acceso libre es el mejor)? Alternativamente, si es posible, nos proporciona un esquema o alguna idea para obtener dicha prueba. Gracias por adelantado.
Recomiendo la referencia anterior porque tiene muy alta calidad. Creo que no hay referencia de tal Lema 2.3.5 en el texto anterior.

Me encantaría ayudarte, pero no respondo dudas universitarias que no tengan que ver específicamente con los videos que ya he grabado como excepcion. O de otras asignaturas que no sean matemáticas, física y química. Lo siento de corazón… Espero lo entiendas
Ojalá algun unicoo universitario se anime a ayudarte (de hecho lo ideal es que todos los universitarios intentarais ayudaros los unos a los otros)
Buenas tardes,
Necesitaria de vuestra ayuda para resolver el siguiente ejercicio de rendas financieras.
Un inversor durante 9 años y al final de cada uno viene ingresando una cantidad "X" en una cuenta corriente decide con este capital realizar una inversión que le producira un beneficio anual a perpetidad (al infinito) de la misma cantidad que "X" .
Se pide que se determine el interes de la inversión teniendo en cuenta que es lo mismo en las dos operaciones financieras.
Muchas gracias,
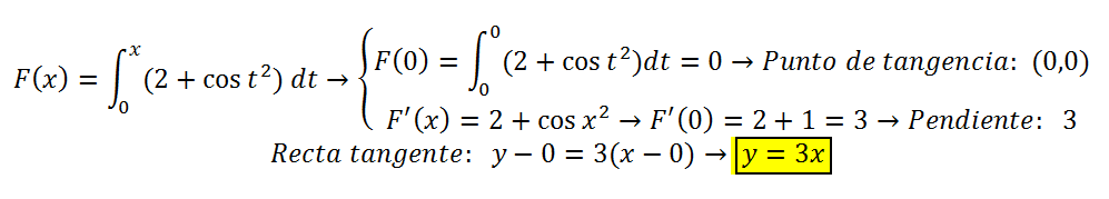
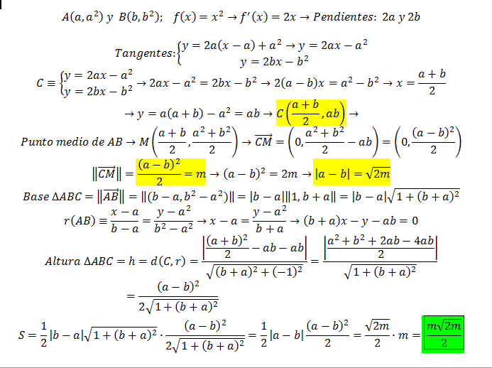
Hola, agradecería ayuda para este problema.
Tenemos una parábola f(x)= x^2 con dos rectas tangentes, t y t´, en los puntos, respectivamente A y B. Las rectas tangentes se cortan en un punto C. La mediana del triángulo ABC correspondiente a C tiene longintud m. Determinar el área de ABC en función de m.
Yo he llegado a la conclusión de que A(a, a^2), B(b, b^2), así que, mediante derivación (para la pendiente)podemos hallar que las ec. de la recta son respectivamente y= 2ax-a^2; y=2bx-b^2. Sin embargo, no sé seguir y agradecería que alguien me lo explicase. Gracias!