Me estoy liando con este ejercicio. Creo que es por no usar bien la calculadora. Ayuda por favor.
Ejercicio 6º:
Calcular el ángulo entre los siguientes vectores
Con este vídeo debería valerte para aprender a hacerlo bien: https://www.youtube.com/watch?v=1osBdZiO2uA
Normalmente se resuelve transformando la función en su equivalente en serie de Taylor, o más específicamente en la serie de McLaurin:
f(x) = ex^2-1 = e-1+ 0 + e-1x2 + 0 + ½ e-1 x4 + 0 + 1/6 e-1 x6 + 0 + 1/24 e-1 x8 + 0 + …
f(x) = ex^2-1 = e-1+ e-1x2 + ½ e-1 x4 + 1/6 e-1 x6 + 1/24 e-1 x8+ …
Luego,
∫f(x) = ∫ex^2-1 dx = ∫ (e-1+ e-1x2 + ½ e-1 x4 + 1/6 e-1 x6 + 1/24 e-1 x8+ …) dx =
= e-1x + ⅓ e-1x3 + (1/10) e-1 x5 + (1/42) e-1 x7 + (1/216) e-1 x9+ …
Podrias ayudarme Antonio de nuevo? Tengo la misma duda solo que el apartado es diferente ,he intentado subir la imagen y no me deja pero haber si explicándolo yo lo entendeis:
2º Sea la función: x/ x elevado a la 2+1
Se pide:
Antonio podrias ayudarme?
He intentado subir la imagen y no me deja pero haber si explicándolo yo lo entendeis:
1º Sea la función: x elevado a la 2/ x-2
Se pide:

http://personal.us.es/jsmonter/jes1/pdf/reprefun_solu.pdf
http://www.iespugaramon.com/ies-puga-ramon/resources/ejerc_represent_funciones1460372452580.pdf
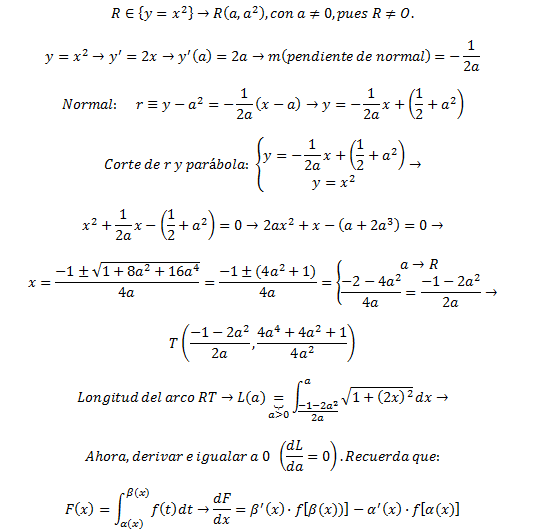
Se tiene un punto R, diferente del origen ubicado sobre una parabola cuya ecuacion es y=x2, la recta normal a la parabola que pasa por R vuelve a intersecar a la parabola en un punto T. Hallar el punto R para que la longitud de arco de la parabola se R a T sea minima.