Hola!!
No me sale este ejercicio, ¿Me podríais ayudar?
Representación de una elipse de semieje (4,1) y centro(3,0)
muchas gracias :)
Se sabe que la serie
diverge. Esto se puede ver en comparación con las series armónicas.
La otra serie
converge debido al criterio alternativo de Liebniz. Veo estas dos series con bastante frecuencia en las preguntas de los exámenes para examinarlas si convergen o no. Las respuestas son bastante sencillas.
Ahora, por curiosidad, podríamos encontrar una forma cerrada para la serie
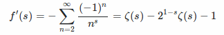
Lo interesante es que si definimos la función
entonces tomando la derivada con respecto a s obtenemos que
No sé cómo regresar y evaluar f(1). ¿Alguien ha hecho eso antes? Expresar el valor de la serie en términos de funciones especiales me conviene. Numéricamente es aproximadamente igual a 0.526412. Eso dijo Wolfram. Entonces, ¿alguna pista?

Me encantaría ayudarte, pero no respondo dudas universitarias que no tengan que ver específicamente con los videos que ya he grabado como excepcion. O de otras asignaturas que no sean matemáticas, física y química. Lo siento de corazón… Espero lo entiendas
Ojalá algun unicoo universitario se anime a ayudarte (de hecho lo ideal es que todos los universitarios intentarais ayudaros los unos a los otros)
Hola, ¿cómo puedo plantear este problema de probabilidad?
Un alumno ha hecho dos exámenes el mismo día. La probabilidad de aprobar el primero es 0'6. La probabilidad de aprobar el segundo es 0'8, y la probabilidad de aprobar los dos es 0'48. Calcula:
a) La probabilidad de aprobar al menos uno de los exámenes.
b) La probabilidad de no aprobar ninguno.
c) ¿Son sucesos libres los exámenes? (No sabía como traducirlo al castellano)
d) La probabilidad de no aprobar el primero pero sí el segundo examen.
tengo una curiosidad, una ciecunferencia unida a una tangente por un punto, si su radio tiende a infinito... que le pasa? Es recta?
Una cocina solar de forma parabólica se fabrica siguiendo la ecuación y = x2 - 6x + 8, y está montada sobre un mesón cuyo borde coincide con el eje de las abscisas. Si todas las medidas están dadas en metros, determine la profundidad que deberá tener el mesón para que la cocina quepa perferctamente.
¿Existe una forma cerrada para la serie
Por supuesto, es sólo η'(2) donde η es la función eta Dirichlet. Wolfram Alpha no devuelve ningún resultado. Por otra parte, todos somos conscientes de ζ '(2) que implica Glashier - Kinkelin constante.
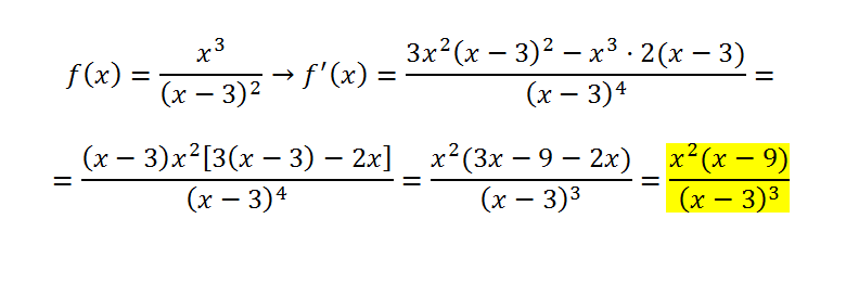
¿Que tal este?