Foro de preguntas y respuestas de Matemáticas

logo beUnicoos
Los foros de unicoos se han unificado en nuestra nueva plataforma beUnicoos. Para dejar nuevas preguntas deberás hacerlo allí, donde además podrás encontrar nuevas asignaturas y herramientas para ayudarte más con tus estudios.

  • icon

    Gaby
    el 3/5/17

    UNICOOS! Me podriam ayudar diciendome como se resolveria este par de ecuaciones??ya estuve intentando resolver pero no encuentro la solución :( ,por favor únicos! O simplemente no hay puntos de intersección?? 

    x^2+y^2=25

    y=sen x

    replythumb_up0 voto/sflag
    icon

    Antonio
    el 3/5/17

    No es un par de ecuaciones, sino un sistema de ecuaciones

    Las soluciones son x=±4.90263


    thumb_up1 voto/sflag

    Usuario eliminado
    el 4/5/17

    El 5 no lo entiendo!!!!!!

    thumb_up0 voto/sflag
    icon

    Antonio
    el 4/5/17

    • Debes iniciar un tema nuevo en Haz una nueva pregunta... arriba a la izquierda


    haz una tabla de contingencia

    a) 10% = 0.1

    b) 50% = 0.5

    thumb_up0 voto/sflag
    icon

    Gaby
    el 5/5/17

    Excelente! Gracias! Perodecearia que me explicara como fue que resolvió el sistema de escuaciones y llegó a ese resultado?? por favor! Se lo agradecería ! 

    thumb_up1 voto/sflag
  • icon

    Jorge Quirant
    el 3/5/17

    Hola,

    Estaba estudiando y no me sale la segunds derivada de f(x)=x^2•e^x por favor, alguien podria resolverme la duda.

    Gracias. 

    replythumb_up0 voto/sflag
    icon

    Antonio
    el 3/5/17

    f(x)=x2•ex

    f'(x)=2x•ex+x2•ex

    f''(x)=2•ex+2x•ex+2x•ex+x2•ex=ex(2+2x+2x+x2)=ex(x2+4x+2)

    thumb_up1 voto/sflag
  • Usuario eliminado
    el 3/5/17

    "Una feria ganadera está abierta al público entre las 10 y las 20 horas. El número de visitantes viene dado por la función N(t)= -20t2+Bt+C, donde t es la hora de visita. Sabiendo que a las 17h se alcanza el máximo de 1500 visitantes, halla B y C y representa la función."

    replythumb_up0 voto/sflag
    icon

    Antonio
    el 3/5/17

    N(t)= -20t2+Bt+C

    sabemos que N(17)=1500

    y que N'(17)=0

    por lo que:

    N'(t)= -40t+B

    N'(17)= -40·17+B=0 => B=680

    N(17)= -20(17)2+B·17+C=1500=>17B+C=7280 => C=-4280





    thumb_up1 voto/sflag
    icon

    Antonius Benedictus
    el 3/5/17


    thumb_up1 voto/sflag
  • icon

    fran ortiz
    el 3/5/17

    cuanto daria la raiz de 2 elevado a 5 entre dos elevado a 8? daria la raiz de 2 elevado a -3, la raiz de 2 elevado a un tercio o que?

    replythumb_up0 voto/sflag
    icon

    Antonio
    el 3/5/17

    la raiz de 2 elevado a 5 es 2 elevado a 5/2

    2 elevado a 5/2 entre dos elevado a 8 es 2 elevado a (5/2 menos 8)

    dos  elevado a (5/2 menos 8) es dos  elevado a -11/2

    dos  elevado a -11/2 es uno dividido entre dos  elevado a 11/2

    uno dividido entre dos  elevado a 11/2 es uno dividido entre raíz de dos  elevado a 11

    uno dividido entre raíz de dos  elevado a 11 es uno dividido entre (dos  elevado a 5 por raíz de dos)

    uno dividido entre (dos  elevado a 5 por raíz de dos) es raíz de dos entre dos elevado a 6


    thumb_up0 voto/sflag
    icon

    gonzalezlbl
    el 4/5/17

    √(25) ÷ 28 = 22√(2) ÷ 28 =

                        = √(2) ÷ 28-2 =

                        = √(2) ÷ 26 =

                        = √(2) ÷ 64


    thumb_up0 voto/sflag
  • icon

    Roger
    el 3/5/17
    flagflag

    Hola Unicoos podrían ayudarme con f(x)


    replythumb_up0 voto/sflag
    icon

    David
    el 12/5/17

    ¿que f(x)?... 

    thumb_up0 voto/sflag
  • icon

    Lucía
    el 3/5/17

    Porfavor, ¿cómo sería esta ecuación??? -2cos(cuadrado)x+3cosx-1=0 Porfavor 

    replythumb_up0 voto/sflag
    icon

    Antonio
    el 3/5/17

    t=cosx


    thumb_up1 voto/sflag
    icon

    Lucía
    el 3/5/17

    Puedes poner las soluciones por favor 

    thumb_up0 voto/sflag
    icon

    Antonio
    el 3/5/17

    -2cos2x+3cosx-1=0

    -2t2+3t-1=0

    se resuelve la ecuación de segundo grado

    t1=1/2 => cosx=1/2 => x=π/3 y x=-π/3

    t2=1 => cosx=1 => x=0


    x=π/3 +2πk

    x=-π/3+2πk

    x=2πk

    k


    thumb_up0 voto/sflag
    icon

    gonzalezlbl
    el 3/5/17

    -2 cos2(x) + 3 cos(x) - 1 = 0
    Hagamos y = cos(x). Entonces nos queda:

    -2 y2 + 3y - 1 = 0

    2 y2 - 3y + 1 = 0

    (2y)2 - 3(2y) + 2 = 0

    (2y - 2) (2y - 1) = 0

    y = 1   ó    y = 1/2

    Retornando a la variable inicial: y = cos(x)
    Para y = 1       cos(x) = 1   ⇒    x = 0°                                              [ realmente x = k •360°     con k ℤ]

    Para y = 1/2      cos(x) = 1/2   ⇒    x = 60°  ó   x = 300°     [ realmente x = (6k +1)•60°  ó  x = (6k + 5)•60° ,    con kℤ]


    thumb_up1 voto/sflag
  • icon

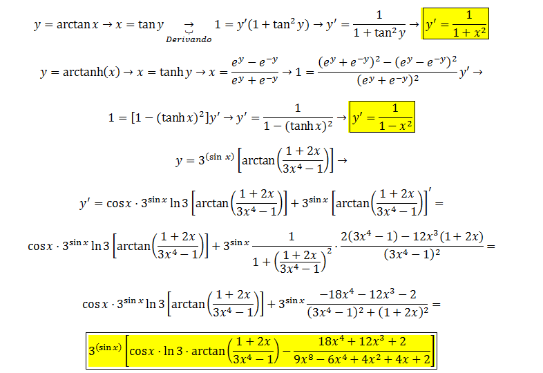
    Osvaldo Lopez
    el 3/5/17

    POR DONDE COMENZARIAN  ES UN EJERCICIO DE DERIVADA COMPUESTA E INVERSA

    replythumb_up0 voto/sflag
    icon

    Antonius Benedictus
    el 3/5/17


    thumb_up0 voto/sflag
  • icon

    Dipika Holos
    el 3/5/17

    , porfa, como seria?

    replythumb_up0 voto/sflag
    icon

    Antonio
    el 3/5/17

    Buscamos un punto del plano

    A(0,1,4)

    Buscamos otro punto del plano

    B(5,-1,0)

    Buscamos un tercer punto del plano

    C(1,0,3)

    Con los puntos A y B obtenemos un vector AB(5,-2,-4)

    Con los puntos A y C obtenemos un vector AC(1,-1,-1)

    Con los vectores AB y AC y el punto A hallamos lo pedido

    x=0+5λ+1μ

    y=1-2λ-1μ

    z=4-4λ-1μ

    que simplificando:

    x=5λ+μ

    y=1-2λ-μ

    z=4-4λ-μ

    thumb_up1 voto/sflag
    icon

    Dipika Holos
    el 4/5/17

    Pero esos puntos de donde salieron? Osea como los hallaste

    thumb_up0 voto/sflag
    icon

    Antonio
    el 4/5/17

    me lo inventé, mejor dicho:

    sustituí la x por cero y puse un 1 en la y

    A(0,1,4)

    sustituí la z por cero y puse un -1 en la y

    B(5,-1,0)

    sustituí la y por cero y puse un 1 en la x

    C(1,0,3)


    hay miles de puntos, no es difícil encontrar tres.

    thumb_up1 voto/sflag
  • icon

    Rubén
    el 3/5/17

    Hola unicoos, por favor ¿me podrían explicar como se hace el apartado b de este ejercicio?

    PD: Tengo examen de mates mañana

    replythumb_up0 voto/sflag
    icon

    Antonio
    el 3/5/17

    Coge un punto de la recta r y calcula su simétrico con respecto al plano

    Haz lo mismo con otro punto

    la recta r' será la que pasa por los dos puntos calculados anteriormente

    thumb_up0 voto/sflag
    icon

    Rubén
    el 4/5/17

    Qué puntos debo coger?

    thumb_up0 voto/sflag
    icon

    Antonio
    el 4/5/17

    Debes coger dos puntos, hay miles de ellos, no te será difícil encontrar dos de ellos.

    como ejemplo, sustituye la x por cero y la y por 1 y despeja la z, tendrás (0,1,z)

    o sustituye dos variables por cero y despeja la otra

    o por cualquier número que se te antoje

    debes encontrar tres números (el de la x, el de la y y el de la z) que satisfagan la ecuación

    thumb_up0 voto/sflag
  • icon

    andres
    el 3/5/17

    Me ayudarían con este, gracias 

    replythumb_up0 voto/sflag
    icon

    Antonius Benedictus
    el 3/5/17


    thumb_up0 voto/sflag