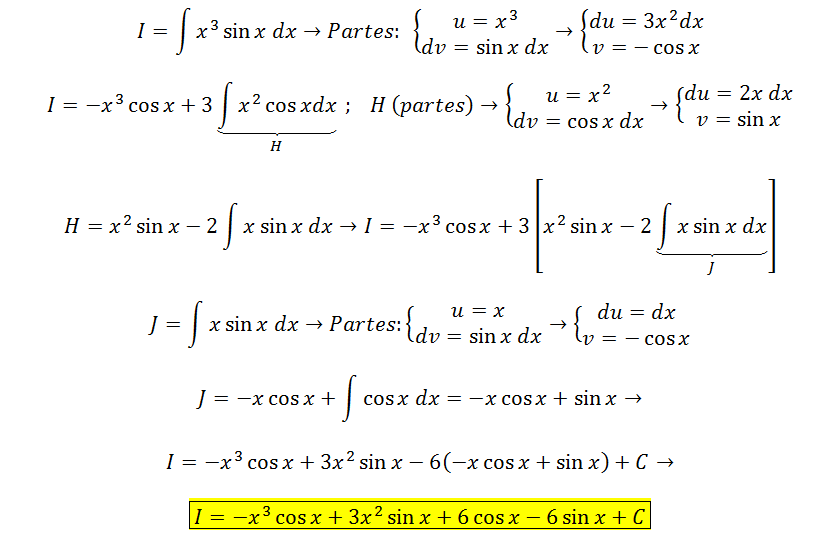
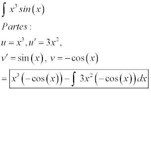
Hola, alguien me podría decir como resuelvo el siguiente ejercicio. Lo estuve pensando y no me doy cuenta. Muchas gracias :)

Continuidad y limites laterales
Funcion a trozos Discontinuidad 01
Funcion a trozos Discontinuidad 02
Funcion a trozos Discontinuidad 03
A partir de ahí, se trata de que DESPUES DE IR A CLASE (ver los vídeos
relacionados con vuestras dudas) enviéis dudas concretas, muy concretas. Y que
nos enviéis también todo aquello que hayais conseguido hacer por vosotros
mismos. Paso a paso, esté bien o mal. No solo el enunciado. De esa manera
podremos saber vuestro nivel, en que podemos ayudaros, cuales son vuestros
fallos.... Y el trabajo duro será el vuestro. Nos cuentas ¿ok? #nosvemosenclase
;-)
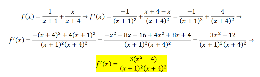
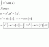
HoLa me podeis explicar que es lo que hago mal, porque no entiendo por que le da al ejercicio el siguiente resultado. Se trata del calculo de la derivada. no entiendo de donde sale el x*2+x yo lo calculo asi:
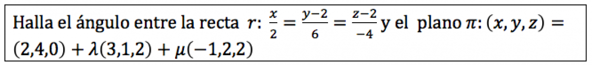
Hola ¿como estan ? hice el ejerecicio que les muestro abajo y me dieron números bastante feos. Lo hice fue tomar un punto del la recta r y con ese punto halla la distancia con la otra recta s.
en r sustituí por cero (x=0) hice las cuentas y me quedo el punto pr(0,2), luego use la formula para hallar distancia y me dió 7/10.
Puede ser que mi razonamiento sea correcto ? Si alguien me podría ayudar se lo agradecería un montón .
Muchas gracias ,
hola unicoos
como puedo saber si esta ecuacion dada representa una circunferencia, un punto o no tiene grafica ??
Debes transformar la ecuación a la forma canónica Centro-Radio.
Es decir, llevarla a la forma (x - h)2 + (y - k)2 = R2
x2 + y2 + 10y = 0
Hay que completar cuadrados (para formar trinomios cuadrados perfectos):completando el trinomio en y: x2 + y2 + 10y + 25 - 25 = 0
reordenando (x - 0)2 + (y2 + 10y + 25) = 25
Factorizando el trinomio cuadrado perfecto: (x - 0)2 + (y2 + 5) = 52
Comparando con la forma Centro-Radio: h = 0, k = -5, R = 5
Como tiene centro y radio, entonces x2 + y2 + 10y = 0 es una circunferencia con centro en (0, -5) y radio 5.