-Para saber si es una función de densidad tendremos que verificar estas 2 condiciones:
1. f(x)≥0
2. +inf∫-inf f(x)dx=1 ----->El área total encerrada bajo la curva es igual a 1
En tu ejercicio se cumple de manera obvia las primera condición: ![]()
Pero no la segunda: Si integramos 0.05x obtenemos 0.025x2
y para calcular el área tendremos que hacer la integral definida entre 0 y 20 (en 20 sería 0.025 (20)2=10 y en 0 sería cero....ya que 10-0=10
no es una función de densidad, ya que su valor tendría que ser de "1"
Buenas tengo este ejercicio, sé bien que se realiza por combinaciones , pero me confunde esa condición. Quisiera que me ayudaran con ella para ver si logro entender como realizarla

Vamos por etapas, y observa que tenemos tres autos, con once lugares en total para ser ocupados por nueve personas.:
1°) Elegimos los conductores:
N1 = C(9,3) = 9!/(3!*6!) = 84 posibilidades.
2°) Elegimos los lugares que serán ocupados por las personas restantes, y observa que tenemos ocho lugares para asignar uno a cada una de las seis personas que faltan ubicar:
N2 = C(8,6) = 8!/(2!*6!) = 28 posibilidades.
3°) Por el principio de multiplicación, tienes que la cantidad total de posibilidades queda:
N = N1*N2 = 84*28 = 2352.
Luego, contamos las posibilidades para que el carro más grande quede con dos lugares vacíos:
a) Elegimos la persona que completará la capacidad del auto más pequeño:
n1 = C(6,1) = 6!/(1!*5!) = 6 posibilidades.
b) Elegimos las tres personas que completarán la capacidad del auto mediano:
n2 = C(5,3) = 5!/(2!*3!) = 10 posibilidades.
c) Ubicamos a las dos personas que faltan ubicar en el auto más grande:
n3 = 1 posibilidad.
Luego, por el principio de multiplicación, tenemos que la cantidad de posibilidades de tener dos lugares vacíos en el auto más grande queda:
n = n1*n2*n3 = 6*10*1 = 60 posibilidades.
Luego, la probabilidad de tener que los dos lugares libres queden en el auto más grande queda:
p = n/N = 60/2352 = 5/196.
Espero haberte ayudado.
Hola. ¿pueden ayudarme a demostrar está formula de integración? usando el teorema de pitágoras.
Lo he intentado pero no me sale.![]()

Puedes aplicar la sustitución (cambio de variable):
u = a*tanw,de donde tienes:
du = a*(1/cos2w)*dw = a*dw/cos2w, y también tienes:
a2 + u2 = a2 + a2*tan2w = a2*(1 + tan2w) = a2*(1/cos2w) = a2/cos2w, y también tienes:
u/a = tanw, que al componer en ambos miembros con la función inversa de la tangente queda:
arctan(u/a) = tan-1(u/a) = w.
Luego, pasamos a la resolución de la integral:
I = ∫ du/(a2 + u2), sustituyes las dos primeras expresiones remarcadas y queda:
I = ∫ (a*dw/cos2w)/(a2/cos2w), simplificas, extraes el factor constante y queda:
I = (1/a) * ∫ dw, integras y queda:
I = (1/a)*w + C, sustituyes la última expresión remarcada y queda:
I = (1/a)*tan-1(u/a) + C.
Espero haberte ayudado.
--------------------TRIGONOMETRÍA------------------
cos(π-x)sen(π-x) +sen(2x) = -sen(2π+x)
Respuesta:
x = πk
x = 2πk + π
Necesito saber si las mis respuestas están bien y si son las únicas o me falto alguna.
MI RESOLUCIÓN:
cos(π-x)sen(π-x) + sen(2x) = -sen(2π+x)
-cos(x)sen(x) + 2senxcosx = -sen(x)
sen(x)cos(x) = -sen(x)
sen(x)cos(x)+sen(x)=0
sen(x) (cos(x)+1)=0
1.-sen(x)=0 ------> (π) y(2π)-->(π)k
2.-cos(x)+1=0--> cos(x)=-1-->180°-->(π)+(2π)k

Tienes las identidades:
cos(π-x) = cosπ*cosx + senπ*senx = -1*cosx + 0*senx = - cosx + 0 = - cosx;
sen(π-x) = senπ*cosx - cosπ*senx = 0*cosx - (-1)*senx = 0 + senx = senx;
sen(2x) = 2*senx*cosx;
sen(2π+x) = sen(2π)*cosx + cos(2π)*senx = 0*cosx + 1*senx = 0 + senx = senx.
Luego, planteas la ecuación del enunciado:
cos(π-x)*sen(π-x) + sen(2x) = - sen(2π+x), sustituyes las cuatro expresiones de las identidades y queda:
- cosx*senx + 2*senx*cosx = - senx, reduces términos semejantes en el primer miembro y queda:
senx*cosx = - senx, haces pasaje de término y queda:
senx*cosx + senx = 0, extraes factor común y queda:
senx*(cosx + 1) = 0, y por anulación de un producto tienes dos opciones:
1)
senx = 0, luego compones con la función inversa del seno en ambos miembrosy queda:
x = 0 + k*π, con k ∈ Z;
2)
cosx + 1 = 0, haces pasaje de término y queda:
cosx = - 1, luego compones con la función inversa del coseno en ambos miembros y queda:
x = π + 2*m*π, con m ∈ Z.
Espero haberte ayudado.
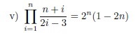
Hola! Necesito ayuda con un ejercicio de inducción. Mi problema viene a la hora de valerme de la hipótesis inductiva para demostrar p(k+1). El enunciado dice: Probar que para todo n perteneciente a N(los naturales) se tiene

Hola....si me podrían ayudar con este ejercicio.
y=x^2
y^2=x
Es de área entre curvas.