Foro de preguntas y respuestas de Matemáticas

logo beUnicoos
Los foros de unicoos se han unificado en nuestra nueva plataforma beUnicoos. Para dejar nuevas preguntas deberás hacerlo allí, donde además podrás encontrar nuevas asignaturas y herramientas para ayudarte más con tus estudios.

  • icon

    Pablo Madera García
    el 30/4/17

    Hola, soy nuevo en unicoos y quería saber cómo puedo acceder a la teoría y los exámenes. (Tengo un plan pro)

    replythumb_up0 voto/sflag
    icon

    Ángel
    el 30/4/17

    Dentro de www.unicoos.com en los vídeos hay una pestaña que pone "material adicional", a la derecha de "preguntas" y "comentarios.

    Ahí tendrás acceso a lo que buscas.

    thumb_up2 voto/sflag
  • icon

    Sergio Rodríguez Moreno
    el 30/4/17

    Hola, ¿la fórmula de la siguiente foto no está mal? ¿No sería P(A U B) = P(A) + P(B) - P(A *intersección* B)?


    replythumb_up0 voto/sflag
    icon

    Antonius Benedictus
    el 30/4/17

    Tienes razón. Pero en el caso de que los sucesos sean incompatibles, la probabilidad de la intersección vale 0.

    Si no te aclaras, sube el emunaciado original y lo vemos. 






    thumb_up1 voto/sflag
  • icon

    Rubén
    el 30/4/17

    Tengo una duda acerca de los determinantes de una matriz. Si me dan un determinante 4x4, hago desarrollo por adjuntos y al hacerlo tengo que cambiar algún numero de signo por lo de multiplicar por (-1)∧a la suma de fila y columna 

    y al hacer todo esto me sale otro determinante 3x3 donde hago de nuevo el desarrollo por adjuntos, ¿tengo que cambiar de nuevo de signo los numeros que formen un rombo o al haberlo hecho ya en el determinante 4x4 no es necesario?

    replythumb_up0 voto/sflag
    icon

    Antonius Benedictus
    el 30/4/17

    El determinante 3X3 que obtienes lo puedes volver a hacer por adjuntos utilizando el  ismo criterio.

    O emplear directamente la regla de Sarrus.

    thumb_up0 voto/sflag
  • Usuario eliminado
    el 30/4/17

    Buenos días,

    ¿Me podrían decir cuáles son los cambios de variables más frecuentes en la integración?

    Un saludo,

    Muchas gracias por su atención.

    replythumb_up0 voto/sflag
    icon

    Antonius Benedictus
    el 30/4/17

    Hay manuales enteros solo dedicados a eso, Carlos.

    thumb_up0 voto/sflag

    Usuario eliminado
    el 30/4/17

    Y a nivel de Selectividad, ¿no sabría cuáles son?

    Muchas gracias por su atención y rápida contestación.

    thumb_up0 voto/sflag
    icon

    Antonius Benedictus
    el 30/4/17

    https://www.matesfacil.com/resueltos-integracion-por-sustitucion.htm

    thumb_up0 voto/sflag
    icon

    Ángel
    el 30/4/17

    Si dominas las integrales por partes, por sustitución, trigonométricas, racionales, irracionales no tendrás problema

    thumb_up0 voto/sflag

    Usuario eliminado
    el 1/5/17

    Muchas gracias a Antonio Benito y Maths.

    thumb_up0 voto/sflag
  • icon

    BEÑAT DE LA GRANJA
    el 30/4/17

    buenos días, podéis ayudarme con la integral de "cotangente de 2X"

    replythumb_up0 voto/sflag
    icon

    Antonius Benedictus
    el 30/4/17


    thumb_up1 voto/sflag
  • Usuario eliminado
    el 30/4/17

    Para cuando puedan:

    Ejercicio 6º:
    Calcular el ángulo entre los siguientes vectores:


    replythumb_up2 voto/sflag
    icon

    Meguande
    el 30/4/17

  • Usuario eliminado
    el 30/4/17

    Ayuda please.

     Ejercicio 5º:
    Calcular el punto medio del segmento de extremos
    a) A( 3,4) y B(-1,2)

    replythumb_up2 voto/sflag
    icon

    Meguande
    el 30/4/17

    http://www.unicoos.com/video/matematicas/1-bachiller/geometria-analitica/puntos-notables-de-un-triangulo/mediatriz-de-un-segmento


    haz una media [(a1+b1)/2   ,   (a2+b2)/2]

    el resultado de tu punto medio M=(1,3)


    thumb_up1 voto/sflag
  • icon

    Pablo
    el 30/4/17

    Hola necesito ayuda en este ejercicio, me piden el valor de "a" para que se cumpla la siguiente igualdad: lim x--->∞ [(x+3)/3]^ax = lim x--->1 (π-πx²)•tag(πx/2) Sé hacer el que tiende a ∞ pero el que tiende a 1 se me atasca. Gracias

    replythumb_up0 voto/sflag
    icon

    Antonius Benedictus
    el 30/4/17

    Foto del enunciado original, por favor.

    thumb_up0 voto/sflag
  • icon

    Ale Soriano
    el 30/4/17
    flag

    Hola tengo una duda sobre planos en tres dimensiones:

    como puedo graficar esto 2y-z=0 ?  ya que no podria usar simetria debido al cero


    replythumb_up0 voto/sflag
    icon

    David
    el 12/5/17

    ¿¿?? 2y=z... Es un plano... El que pasa por los puntos (0,2,1), (1,2,1), (2,2,1),(3,4,2)... 

    thumb_up0 voto/sflag
  • icon

    Majo Artur ????
    el 30/4/17

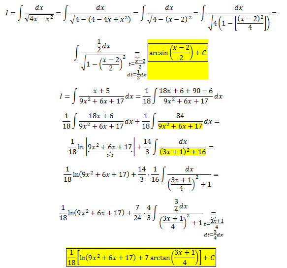
    hola, me piden evaluar las siguientes integrales pero no comprendo

    ¿como que evaluar? , como lo hago ?

    alguien me ayuda por favor

    mil gracias


    replythumb_up0 voto/sflag
    icon

    Antonius Benedictus
    el 30/4/17


    thumb_up0 voto/sflag
    icon

    Majo Artur ????
    el 30/4/17

    Disculpe de casualidad no hay vídeos en unicoos sobre este tema??

    es que no logro entender muy bien el desarrollo del ejercicio.

    thumb_up0 voto/sflag
    icon

    Antonius Benedictus
    el 1/5/17