Buenas David,
Me gustaría que subieses vídeos de Estadística para 2 bachillerato ( Distribución Normal, Estadística Indiferencial, Distribución en el muestreo, Intervalos de confianza,...)
Espero que lo leas y lo tomes en cuenta por favor, sería de una gran ayuda, un gran abrazo!!!!
¿Cuándo estamos aplicando el teorema de Rolle siempre estamos aplicando a su vez el teorema de Bolzano?
Hola!!
Buen día. Pido ayuda en un sistema de "ecuaciones polares" y "Área entre curvas"
// Graficar la región interior al cardiode r = 2 + 2 Cos (θ) y exterior al cardioide r = 2 - 2 Sen (θ) y determinar el área de la misma. Además determine los puntos de intersección de las curvas.
Resolviendo el sistema de ecuaciones polares por igualación queda___
2 + 2 Cos (θ) = 2 - 2 Sen (θ)
2 Cos (θ) = - 2 Sen (θ)
Tan (θ) = -1
θ = arctan (-1) (La tangente solo es negativa en el segundo y cuarto cuadrante) y mi Referencial y a mi parecer creo que es necesario el Referencial: 0 ≤ θ ≤ 2π
( θ = (3/4)π r = 2 - √2 ) y ( θ = (7/4)π r = 2 + √2 )
Mi duda va aquí: (Ojo) Hay otro punto en común entre las curvas, sin embargo no apareció en las ecuaciones el punto (0,0). Y las curvas tienen en común en ese punto, se lo ve en la grafica.
¿Porque este valor no apareció en mis ecuaciones?
// La curva ROSADA corresponde a la primera ecuación.
Ayúdenme también a encontrar el área pedida.
Gracias de antemano. SALUDOS

Debes tener en cuenta que en coordenadas polares el origen queda descrito con la ecuación r = 0, que es independiente del argumento θ.
Observa que si reemplazas, las ecuaciones quedan:
0 = 2 + 2*cosθ, de donde despejas: - 1 = cosθ, y tienes: π = θ, que representa al origen de coordenadas, pero presentado como un punto perteneciente a la semirrecta cuya ecuación es θ = π (que coincide con el semieje cartesiano x negativo), cuya distancia al polo (origen) es igual a cero;
0 = 2 - 2*senθ, de donde despejas: 1 = senθ, y tienes: π/2 = θ, que representa al origen de coordenadas, pero presentado como un punto perteneciente a la semirrecta cuya ecuación es θ = π/2 (que coincide con el semieje cartesiano y positivo), cuya distancia al polo (origen) es igual a cero.
Siempre es conveniente estudiar qué ocurre con r = 0 cuando trabajamos con ecuaciones con coordenadas polares, para ver si el polo (origen de coordenadas) pertenece o no pertenece a las curvas que son gráficas de dichas ecuaciones, y en este caso tenemos que pertenece a las dos gráficas.
Espero haberte ayudado.
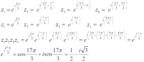
Hola de nuevo amigos únicoos
Disculpad la molestia, pero necesito ayuda en otro problema que no logro resolver. El cual trata de números complejos...
Ayuda por favor.
Nuevamente Gracias.
Halla el valor de los números reales a y b sabiendo que la pendiente de la recta tangente a la curva de ecuación y=ax2+bx en el punto P(2,2) vale 5.
He mirado el vídeo de la ecuación de la recta tangente pero no he encontrado ningún ejercicio parecido, me podéis ayudar?