limx->0- f(x) = -∞
limx->0+ f(x) = +∞
AV en x=0
limx->-∞ f(x) = +∞
limx->+∞ f(x) = -∞
f'=0 => x1=-2 x2=2
f''(x)=-16/x3
f''(-2)=2>0 => mínimo en x=-2
f''(2)=-2<0 => máximo en x=2
f''(x)=0
-16/x3=0 # no tiene puntos de inflexión
curvatura hacia arriba en (-∞,0)
curvatura hacia abajo en (o,+∞)

Hola, respondo ahora porque he intentado resolver el ejercicio con vuestras respuestas.
Prof. Antonio concuerdo con el prof. Cèsar que la primera parte de los limites no es correcta. Por lo tanto no se si la gràfica realizada corresponde o no al ejercicio, es deci,r si fue una distracciòn lo de los limites, y la gràfica corresponde a los resultados correctos o la grafica no es exacta. Por otra parte la grafica del profesor Cèsar es diferente. Cuàl es la justa?
Con lo que respecta a las dos respuestas son tan esquemàticas que a mi no me sirven ya que me interesa saber resolver los ejercicios y no solo las respuestas y muchas veces me confunden aùn màs dentro de lo confusa que me encuentro.
Lo de los limites lo tengo claro,la parte de crecimiento no, y la ultima parte tampoco.
Gracias igualmente por el tiempo utilizado.
Me podéis ayudar por favor
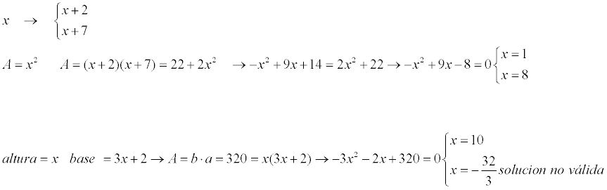
1.- Si a un lado de un cuadrado se le alarga en 2 m y al lado contiguo en 7 m, obtenemos un rectángulo cuya área es 22 m2 más que el doble del área del cuadrado. Calcula el lado del cuadrado.
2.- Calcula los lados de un rectángulo, sabiendo que la base excede en 2 m el triple de la altura, y que el área del rectángulo es de 320 m2 .
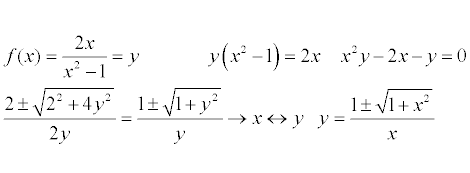
Me pueden explicar por que en el ejemplo 2, x = ± 2 no puede ser una solución, y en ese ejemplo que tomo como solución?? puesto que al factorizar x = 2 y no la teoría dice que ese valor no puedo tomar como solución
Para máximos y mínimos tienes que hacer la primera derivada (ya la tienes hecha en tu ejercicio de antes) e igualarla a cero (obtendrás una/s equis)
Después hacer la segunda derivada en "esas equis"
Si te da x<0 es un máximo
Si te da x>0 es un mínimo
Si te da 0, no hay máximo ni mínimo
Este vídeo te vendrá bien: http://www.unicoos.com/video/matematicas/1-bachiller/aplicaciones-de-la-derivada/crecimiento-y-curvatura/crecimiento-y-curvatura-de-una-funcion-polinomica