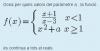
Hola!, me piden hallar la inversa de f(x) = ln (x2 + 4) , x > 0 y resuelvo así: y = ln (x2 + 4) ----> (intercambio "y" y "x") tal que x = ln (y2 + 4) ---> por lo tanto e x = (y2 + 4) -----> ex - 4 = y2 ----> y = √(e x - 22) , pero cuando sustiuyo para corroborar no me devuelven los mismos valores. Muchas gracias!
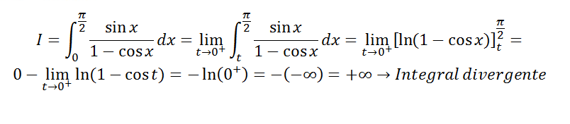
Buenos dias! me podrian ayudar con esta integral? me da una indeterminación 0/0 y no se donde debo aplicar la regla de bernoulli (lhopital). si dentro de la integral o resolver la integral de manera infinida luego a ese resultado aplicarle la regla.

Observa que la integral es impropia, ya que el denominador se anula para x = 0, que es el límite inferior de integración.
Luego, planteamos el problema en tres pasos:
1°) Resolvemos la integral indefinida, para ello puedes plantear la sustitución (cambio de variable):
w = 1 - cosx, de donde tienes: dw = senx*dx, luego sustituyes y la integral queda.
I = ∫ (1/w)*dw = ln|w| + C = sustituyes y queda = ln|1 - cosx| + C.
2°) Evaluamos para el intervalo: a ≤ x ≤ π/2 (donde a es un valor genérico) y queda:
I = ln|1 - cos(π/2)| - ln|1 - cosa| = ln|1 - 0| - ln|1 - cosa| = ln(1) - ln|1 - cosa| = 0 - ln|1 - cosa| = - ln|1 - cosa|.
3°) Planteamos el límite de la expresión anterior para a tendiendo a cero por la derecha y queda:
I = Lím(a→0+) ( - ln|1 - cosa| ) = +∞,
ya que tienes que el argumento del logaritmo tiende a cero, lo que lleva a que el logaritmo tienda a - infinito, y que la integral tienda a + infinito.
Por lo tanto, concluimos que la integral impropia del enunciado es divergente.
Espero haberte ayudado.
Hola buenos dias alguien que pudiera ayudarme con esta pregunta, si fuera tan amable, de antemano muchas gracias.
Describe el significado geométrico (en términos de distancias), tanto de la media como de la desviación estándar.