Foro de preguntas y respuestas de Matemáticas

logo beUnicoos
Los foros de unicoos se han unificado en nuestra nueva plataforma beUnicoos. Para dejar nuevas preguntas deberás hacerlo allí, donde además podrás encontrar nuevas asignaturas y herramientas para ayudarte más con tus estudios.

  • icon

    Nicolas
    el 16/4/17

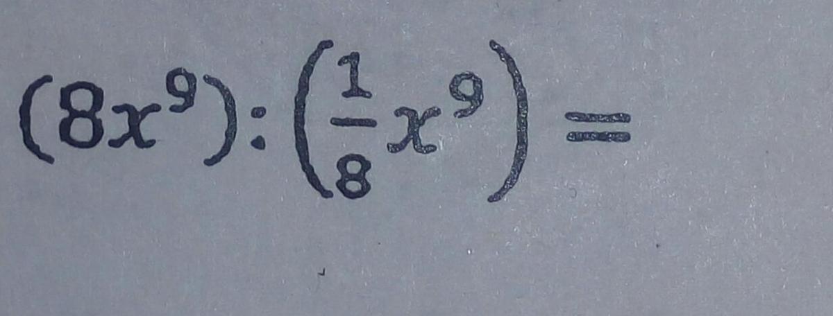
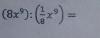
    Efectuar las siguientes divisiones entre monomios:

    B) (8x9):(1/8x9)=


    Gracias

    replythumb_up0 voto/sflag
    icon

    Gabriel
    el 16/4/17

    Hola Nicolás, a ver si esto te sirve

    8:(1/8)=82=64

    x9:x9=1

    Solución 64


    thumb_up0 voto/sflag
    icon

    Ángel
    el 16/4/17


    Depende cual sea el enunciado original.

    thumb_up0 voto/sflag
    icon

    Antonio
    el 16/4/17

    Ya se te preguntó en su momento:

     ¿1/8xes (1/8)x o es 1/(8x)?

    Como puedes ver el el post de Maths se te ha resuelto de las dos formas

    ¿Cuál es tu duda?




    thumb_up0 voto/sflag
    icon

    Nicolas
    el 16/4/17


    thumb_up0 voto/sflag
    icon

    Ángel
    el 17/4/17

    64

    thumb_up0 voto/sflag
    icon

    Antonio
    el 17/4/17

    La solución es 64

    fíjate en el post de Gabriel


    thumb_up0 voto/sflag
  • icon

    Nicolas
    el 16/4/17

    Considerar los polinomios y realizar la operación indicada.Gracias

    (2x-x3+1) + (-2x+x3-1)=

    replythumb_up0 voto/sflag
    icon

    Ángel
    el 16/4/17

    (2x-x3+1) + (-2x+x3-1)=

    2x-x3+1 -2x+x3-1=

    -x3+x3-2x+2x+1 -1=

    0

    thumb_up1 voto/sflag
    icon

    Javier Marquez
    el 16/4/17

    Hola, en operaciones como estas simplemente tienes que sumar o restar terminos semejantes y tener cuidado con los parentesis, pues si antepones un signo negativo, este cambiara los signos de los terminos que estan dentro del parentesis, pero si antes hay un signo mas, entonces puedes sacarlo

    En en este caso,

    (2x-x3+1) + (-2x+x3-1)=2x -x3+1 + -2x+x3-1/sacando el parentesis

                                             = - x+x3+2x-2x+1-1/agrupamos los terminos semejantes

                                             = 0 + 0 +0 / operando

                                             = 0



    thumb_up1 voto/sflag
  • icon

    MAREST
    el 16/4/17

    Muchas gracias Cesar.

    Uuuuuf Antonio, lo de resolver los paréntesis por separado ha sido todo un descubrimiento para mí.

    replythumb_up0 voto/sflag
    icon

    Antonio
    el 16/4/17

    me alegro!!!!!

    pero ojo, solo si todos están multiplicando e igualado a cero


    thumb_up0 voto/sflag
  • icon

    MAREST
    el 16/4/17

    Muchas gracias Antonio. No sabía que se podía separar los paréntesis, igualarlos a cero y resolverlos de forma independiente.

    ¿puedo hacer lo mismo con (3x + 9)(4x² - 1)(x + 5) = 0 ?

    replythumb_up0 voto/sflag
    icon

    Antonio
    el 16/4/17

    Of course,

    si tienes varios números multiplicados que te dan cero al menos uno de ellos debe ser cero

    thumb_up0 voto/sflag
    icon

    Antonio
    el 16/4/17

    (3x + 9)(4x² - 1)(x + 5) = 0

    (3x + 9) = 0 => x=-3

    (4x² - 1) = 0 => x=±1/2

    (x + 5) = 0 => x=-5

    thumb_up0 voto/sflag
  • icon

    Milagros
    el 16/4/17

    Hola! necesito ayuda con este problema de derivada implícita. Probé diferentes formas de resolverlo pero no estoy segura.


    replythumb_up0 voto/sflag
    icon

    Antonius Benedictus
    el 16/4/17

    Revisa operaciones, Milagros:


    thumb_up0 voto/sflag
    icon

    Milagros
    el 16/4/17

    Muchísimas gracias Antonio! 

    thumb_up0 voto/sflag
  • icon

    Jose Manuel
    el 16/4/17

    Ayuda por favor

    replythumb_up0 voto/sflag
    icon

    Antonius Benedictus
    el 16/4/17


    thumb_up1 voto/sflag
    icon

    Jose Manuel
    el 16/4/17

    Muchisimas gracias antonio eres un genio

    thumb_up0 voto/sflag
  • icon

    Eleo Romario Huayhua Paco
    el 16/4/17
    flag

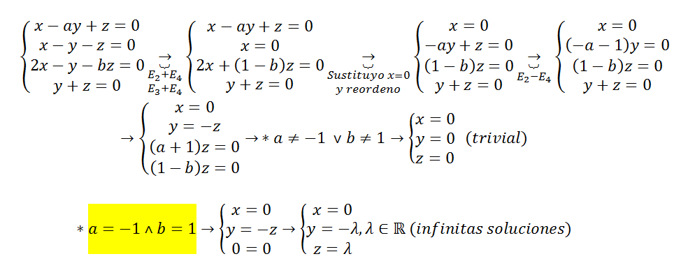
    Una consulta respecto a matrices : solo necesito despejar la matriz X

     

    replythumb_up0 voto/sflag
    icon

    Ángel
    el 16/4/17

    Es dificilillo despejar "solo" la X... :D

    thumb_up0 voto/sflag
    icon

    Antonius Benedictus
    el 16/4/17

    Pon foto original de la ecuación matricial, pues me parece que está mal transcrita.

    thumb_up0 voto/sflag
  • icon

    Luciano Serra
    el 16/4/17

    tengo 2 consultas!, me dicen a partir del gráfico h(x) = cos (x) , hacer el gráfico de f(x) = cos (2x + π)

    y el otro me piden determinar todo los valores de X E R / cos (2x) = 3/2 .

    Se me complica resolverlos, estoy seguro de que son sencillos de entender. Muchas gracias!

    replythumb_up0 voto/sflag
    icon

    Antonio
    el 16/4/17

    Para el primero debes visualizar videos de transformaciones de funciones.

    El segundo es muy fácil, jamás el coseno de ningún ángulo será mayor que 1, por lo que el ejercicio no tiene solución.

    thumb_up0 voto/sflag
    icon

    Antonius Benedictus
    el 16/4/17

    En rojo h(x)


    thumb_up0 voto/sflag
  • icon

    Christian Benito
    el 16/4/17

    Hola a todos,


    Tengo la siguiente duda sobre la derivabilidad de una función. Y es que, para saber si es derivable en 0 en la función ya derivada f'(x)= 1 si x<0 , 1 si 0 < = x < = 1, 2 si 1<x

    No sabría que función escoger a la hora de escoger 0 por la derecha, ya que abarca tanto 0< =x <= 1 como 1<x...

    Gracias y un saludo.


    replythumb_up0 voto/sflag
    icon

    Ángel
    el 16/4/17

    Derivabilidad en x=0

    f'(x)= 1 si x<0        (por la izquierda)

    1 si 0 < = x < = 1          (por la derecha)


    Como coinciden las dos derivadas, podemos decir que son derivables en ese punto.


    thumb_up0 voto/sflag
    icon

    Ángel
    el 16/4/17

    Tienes que escoger los trozos de función que estén más cercanos al punto que quieras estudiar.

    DERIVABILIDAD.

    Derivabilidad en x=0  -------> Es derivable en x=0 porque 1=1

    f'(x)= 1 si x<0        (por la izquierda)

    1 si 0 < = x < = 1          (por la derecha)


    Derivabilidad en x=1    -------> No es derivable en x=1 porque 12

    1 si 0 < = x < = 1          (por la izquierda)

    2 si 1<x                       (por la derecha)


    thumb_up0 voto/sflag
  • Usuario eliminado
    el 16/4/17

    Corrección por favor, Maths, cuando puedas.

    replythumb_up0 voto/sflag
    icon

    Ángel
    el 16/4/17

    Tienes que estudiar también x=-1, porque si x2=1, entonces x puede valer 1 (como bien hallaste) pero también -1

    thumb_up2 voto/sflag

    Usuario eliminado
    el 16/4/17

    x2 no lo localizo yo por ningún lado

    thumb_up0 voto/sflag
    icon

    Ángel
    el 16/4/17


    thumb_up1 voto/sflag

    Usuario eliminado
    el 16/4/17

    Lo tengo que entregar todo mañana antes de las 17:00

    y pasado examen, ufuffufufu, amo ve como recuerdo yo luego to esto jijijij

    Gracias Maths, lo que me quedaría es hacer lo mismo que he echo con el x=1

    hacerlo con -1 no.....

    yo hice como el video que me mandaste pero no me piden curvatura ni inflexión

    Estoy saturado mañana será otro día .

    1000 gracias.

    thumb_up0 voto/sflag

    Usuario eliminado
    el 16/4/17

    ahora lo veo, Maths, y para que se tienen que hacer también con -1

    thumb_up0 voto/sflag

    Usuario eliminado
    el 16/4/17

    supongo que será para hallar los valores para cuando la x tienda a valores negativos

    thumb_up0 voto/sflag
    icon

    Ángel
    el 16/4/17

    Para hacer exactamente lo mismo que con x=1: hallar posibles máximos y mínimos y crecimiento/decrecimiento

    thumb_up1 voto/sflag