Hola buenos dias alguien que pudiera ayudarme con esta pregunta, si fuera tan amable, de antemano muchas gracias.
Por qué se dice que la media y la desviación estándar describen la distribución de probabilidad.

Puedes sumar y restar 1 en el numerador del argumento:
x/(x+1)2 = ( (x+1)-1) )/(x+1)2 = distribuyes el denominador = (x+1)/(x+1)2 - 1/(x+1)2 = 1/(x+1) - 1/(x+1)2 = 1/(x+1) - (x+1)-2,
y observa que te quedan dos integrales directas, por lo que resuelves término a término y la integral de tu enunciado queda:
I = ln|x+1| + (x+1)-1 + C = ln|x+1| + 1/(x+1) + C.
Espero haberte ayudado.

Vamos con una orientación.
a) Puedes multiplicar por derecha en ambos miembros de la ecuación por la matriz A y queda:
A-1*A = (1/5)*At*A, luego aplicas la propiedad del producto de matrices inversas entre sí y queda:
I3 = (1/5)*At*A, y luego queda que hagas el producto en el segundo miembro, y verifiques que su resultado es igual a la matriz identidad de orden tres.
b) Planteas la matriz A - λI3 y queda:
A - λI3 =
(√(5) - λ) 0 0
0 (1-λ) -2
0 2 (1-λ)
Luego plantea que su determinante es igual a cero:
|A - λI3| = 0, desarrollas el determinante (por ejemplo con la Regla de Sarrus, te dejo la tarea) y queda la ecuación característica:
(√(5) - λ)*(1-λ)*(1-λ) = 0, reducimos factores semejantes y queda:
(√(5) - λ)*(1-λ)2 = 0, luego, por anulación de un producto tienes dos opciones:
b1) √(5) - λ = 0, de donde puedes despejar: √(5) = λ,
b2) (1-λ)2 = 0, haces pasaje de potencia como raíz y queda: 1-λ = 0, de donde puedes despejar: 1 = λ.
c) Llamamos b al determinante de la matriz B;
luego recuerda que el determinante de una matriz es igual al determinante de su matriz traspuesta,
y recuerda que el determinante de la matriz inversa es igual al inverso multiplicativo del determinante de la matriz, por lo que tenemos:
|B| = b > 0,
|Bt| = |B| = b,
|B-1| = 1/|B| = 1/b.
Luego pasamos a la ecuación del enunciado:
B-1 = Bt, luego por igualdad entre matrices, planteamos igualdad para sus determinantes:
|B-1| = |Bt|, sustituimos y queda:
1/b = b, hacemos pasaje de divisor como factor y queda:
1 = b2, hacemos pasaje de potencia como raíz y tenemos dos opciones:
c1) - 1 = b, que no corresponde a este problema, ya que tenemos en el enunciado que el determinante de la matriz B es mayor que cero,
c2) 1 = b.
Por lo que concluimos que el determinante de la matriz B es igual a uno.
Espero haberte ayudado.
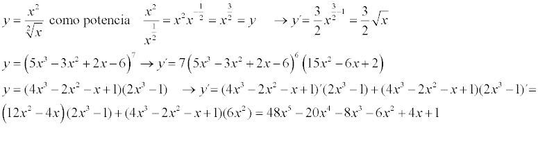
7(5x3- 3x2+ 2x-6)6
no me acuerdo como resolver esto ayuda please.

Si se trata de plantear la expresión de la función derivada, ahí vamos:
Tienes la expresión de la función:
y = 7*(5x3 - 3x2 + 2x - 6)6, que podemos escribir:
y =7* u6, cuya derivada queda (recuerda que el factor numérico puede ser extraído de la derivación): y ' = 7*6u5 = 42*u5*u ' (1),
donde tenemos:
u = 5x3 - 3x2 + 2x - 6, cuya derivada queda: u ' = 15x2 - 6x + 2,
luego sustituimos en la ecuación señalada (1) y queda:
y ' = 42*(5x3 - 3x2 + 2x - 6)5*(15x2 - 6x + 2).
Espero haberte ayudado.
Buenas, yo el paso que dais aquí, no lo veo, por mas que miro videos y nada, haber si alguien me lo pudiera explicar paso a paso por favor.

Debes aplicar la regla de la cadena (derivada de una función compuesta):
y = f(u), cuya derivada queda: y ' = f ' (u)*u ',
En tu primer ejercicio, que has resuelto correctamente, tienes:
y = (5x3 - 3x2 + 2x - 6)7, que tiene la forma:
y = u7, cuya derivada queda: y ' = 7u6*u ' (1),
donde tienes: u = 5x3 - 3x2 + 2x - 6,
luego planteas la derivada (recuerda que puedes derivar término a término) y queda: u ' = 15x2 - 6x + 2,
luego sustituyes las expresiones de las funciones u y u ' en la expresión señalada (1) y queda:
y ' = 7(5x3 - 3x2 + 2x - 6)6*(15x2 - 6x + 2).
En tu segundo ejercicio tienes:
y = (4x3 - 2x2 - x + 1)*(2x3 - 1),
que tiene la forma de un producto de funciones:
y = u*v, cuya derivada queda: y ' = u ' * v + u * v '(1),
donde tienes:
u = 4x3 - 2x2 - x + 1, cuya derivada queda: u ' = 12x2 - 4x + 1,
v = 2x3 - 1, cuya derivada queda: v ' = 6x2;
luego sustituyes en la ecuación señalada (1) y queda:
y ' = (12x2 - 4x + 1)*(2x3 - 1) + (4x3 - 2x2 - x + 1)*6x2.
Espero haberte ayudado.
Buenas alguien podría ayudarme a entender como resolver los programas con restricciones de desigualdad, siguiendo las condiciones de Kuhn Tucker?