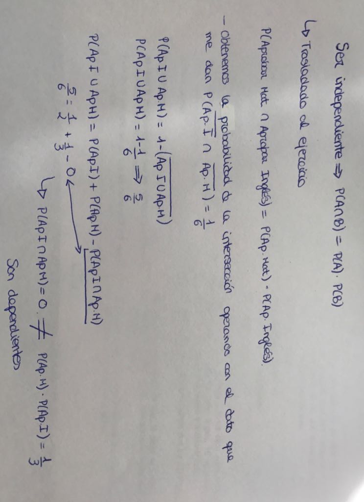
En la primera foto se muestra el enunciado del problema y como queda resuelto según el solucionario. En la segunda foto, se muestra como lo hemos solucionado en clase. En clase para poder hacer el apartado A hemos supuesto, si son independientes simplemente se hace producto de probabilidades de sucesos, por esta razón hemos contestado primero al apartado B comprobando así si son independientes pero hemos finalizado diciendo que son dependientes porque la igualdad de independencia no se cumplía. ¿Por qué en el solucionario sale que son independientes?
Muchas Gracias
Si m y n son dos números cuya diferencia es 3. Halla m +n Si N = 3^n + 3^m tiene 36 divisores, Me ayudan con el planteo,
Un hotel dispone de 20 habitaciones y 20 camareros. Los camareros tienen la siguiente costumbre:
-El primer camarero cierra las puertas de todas las habitaciones
-El segundo abre las puertas de las habitaciones pares
-El tercero cambia de posición todas las puertas que son múltiplos de 3
-El cuarto cambia todas las múltiplos de 4
Así hasta que pasa el último camarero. ¿qué puertas quedarán cerradas al final?

Revisamos los divisores naturales de los números de las habitanciones (1 a 20), y estos divisores corresponderán a los números de los camareros que accionan sus puertas, que indicamos C (la deja cerrada) y A (la deja abierta), por lo que tendremos secuencias con elementos C o A, y la última letra indica el estado final de la puerta de la habitación
1 tiene como divisores: 1, secuencia: C, por lo que la habitación queda cerrada;
2 tiene como divisores: 1 y 2, secuencia CA, por lo que la habitación queda abierta;
3 tiene como divisores: 1 y 3, secuencia CA, por lo la habitación queda abierta;
4 tiene como divisores: 1, 2 y 4, secuencia: CAC, por lo que la habitación queda cerrada;
5 tiene como divisores: 1 y 5, secuencia CA, por lo que la habitación queda abierta;
6 tiene como divisores: 1, 2, 3 y 6, secuencia CACA, por lo que la habitación queda abierta;
7 tiene como divisores: 1 y 7, secuencia CA, por lo que la habitación queda abierta;
8 tiene como divisores: 1, 2, 4 y 8, secuencia CACA, por lo que la habitación queda abierta;
9 tiene como divisores: 1, 3 y 9, secuencia CAC, por lo que la habitación queda cerrada;
10 tiene como divisores: 1, 2, 5 y 10, secuencia CACA, por lo que la habitación queda abierta;
11 tiene como divisores: 1 y 11, secuencia CA, por lo que la habitación queda abierta;
12 tiene como divisores 1, 2, 3, 4, 6 y 12, secuencia CACACA, por lo que la habitación queda abierta;
13 tiene como divisores: 1 y 13, secuencia CA, por lo que la habitación queda abierta;
14 tiene como divisores: 1, 2, 7 y 14, secuencia CACA, por lo que la habitación queda abierta;
15 tiene como divisores: 1, 3, 5 y 15, secuencia CACA, por lo que la habitación queda abierta;
16 tiene como divisores: 1, 2, 4, 8 y 16, secuencia CACAC, por lo que la habitación queda cerrada;
17 tiene como divisores: 1 y 17, secuencia CA, por lo que la habitación queda abierta;
18 tiene como divisores: 1, 2, 3, 6, 9 y 18, secuencia CACACA, por lo que la habitación queda abierta;
19 tiene como divisores: 1 y 19, secuencia CA, por lo que la habitación queda abierta;
20 tiene como divisores: 1, 2, 4, 5, 10 y 20, secuencia CACACA, por lo que la habitación queda abierta.
Observa que quedarán cerradas todas las habitaciones cuyos números tienen una cantidad impar de divisores naturales,
y que quedan abiertas todas aquellas cuyos números tienen una cantidad par de divisores naturales.
Espero haberte ayudado.
Hola buen día! me piden determinar los valores de x E R de
Propiedad utilizada COS (A + B) = cos A . cos B - sen a . sen B (como √2/2 puede ser cos de 45 o sen de 45, los utilizo a mi conveniencia en el ejercicio)
a) cos (x + π/4) = √2/2 (cos (x) - sen (x) ----> cos (x + π/4)= cos (π/4). cos (x) - sen π/4 . sen(x) , esto me da que ----> cos (x + π/4) = cos (x + π/4) , es decir me queda que un lado es igual al otro.. por lo que entiendo que podría ser todos los R pero no se como determinarlo, ni si está bien el procedimiento muchas gracias.
b) sen (2x)= 2 sen (2x).cos (x) (este lo quisiera resolver con la identidad del ángulo doble pero el cos no vale 2x como debería.
Muchas gracias!
¿Cómo se representa eso? Sé que hay que hacer los valores absolutos por separado y luego juntarlos, pero siempre me salen resultados por la parte negativa de la Y y no sé si eso tiene sentido. Aunque estando ese -1 fuera de los valores absolutos sí es posible, ¿no? Alguien que me eche una mano.

Te sugiero... Funcion a trozos - Valor absoluto
A partir de ahí, se trata de que DESPUES DE IR A CLASE (ver los vídeos
relacionados con vuestras dudas) enviéis dudas concretas, muy concretas. Y que
nos enviéis también todo aquello que hayais conseguido hacer por vosotros
mismos. Paso a paso, esté bien o mal. No solo el enunciado. De esa manera
podremos saber vuestro nivel, en que podemos ayudaros, cuales son vuestros
fallos.... Y el trabajo duro será el vuestro. Nos cuentas ¿ok? #nosvemosenclase
;-)
Alguien me puede decir si tengo bien las siguientes derivadas parciales de la siguiente funcion? f(x,y)= sin (y^2 + 2xy) fx= 2ycos(y2+2xy) fy= (2x + 2y) cos(y^2 + 2xy)
y si es asi, el vector gradiente de los puntos (1,0) seria de fx(P) =0cos( 0) =0 y de fy(P)= (2 + 0 ) cos (0) =0
Un saludo.
Dada la inecuación de segundo grado x2+5x≤0 que tiene como soluciones 0 y -5, como debería representarse? Haría falta calcular algún intervalo? Gracias de antemano.