Foro de preguntas y respuestas de Matemáticas

logo beUnicoos
Los foros de unicoos se han unificado en nuestra nueva plataforma beUnicoos. Para dejar nuevas preguntas deberás hacerlo allí, donde además podrás encontrar nuevas asignaturas y herramientas para ayudarte más con tus estudios.

  • Usuario eliminado
    el 15/4/17

    Hice el primero Maths, no vea, échale una miradita haber si es cierto el razonamiento y si es cierto el razonamiento para quitar raíces.

    replythumb_up0 voto/sflag
    icon

    Ángel
    el 15/4/17


    y= x5/3


    y´=(5/3)* x5/3-1*(1)

    y´=(5/3)* x2/3

    thumb_up1 voto/sflag

    Usuario eliminado
    el 15/4/17

    ni idea Maths yo es que hice la EGB y que va me quedo cojio

    thumb_up0 voto/sflag

    Usuario eliminado
    el 15/4/17

     yo por la tabla esa que te he mandado no veo por ningún lado que sean las 5 primeras, pero bueno, lo vi dejar a ver si mañana lo veo con mas claridad.  de todas formas no creo que me de tiempo ir al examen del martes por la tarde, no se, veremos haber. Te subo el C para que le eches un vistazo.

    Gracias.

    thumb_up0 voto/sflag
    icon

    Ángel
    el 15/4/17


    Todas las soluciones a tus problemas están en una paginilla...ni se te ocurra no ir al examen que te estoy viendo venir jaja

    Supongo que estarás de broma después de todas las horas que le estás echando ;)

    Además, con unas horas más de dedicación ya verás como apruebas!

    thumb_up0 voto/sflag
  • icon

    Vivi
    el 15/4/17

    Como se cuantos divisores simples tiene un numero ??

    Ejemplo; 36 tiene 9 divisores compuestos, cuantos simples tiene?

    replythumb_up0 voto/sflag
    icon

    Ángel
    el 15/4/17

    https://www.youtube.com/watch?v=5mOYsmxWVVw


    36=22*32

    Divisores: (2+1)*(2+1)= 9

    *divisores simples: los números 1, 2 y 3 

    *divisores compuestos: los números 4,6,9,12,18 y 36

    (creo que en el vídeo que te he mandado no tienen en cuenta el número "1", pero creo que es mejor tenerlo en cuenta para que "cuadre" la fórmula de los divisores.

    thumb_up0 voto/sflag
  • icon

    Guillem De La Calle Vicente
    el 15/4/17

    ¿Cómo puedo obtener la raíz cuadrada de un número complejo?

    Si se me da un número complejo (digamos 9 + 4i), ¿cómo calculo su raíz cuadrada?

    replythumb_up0 voto/sflag
    icon

    Antonius Benedictus
    el 15/4/17


    thumb_up0 voto/sflag
    icon

    Antonio
    el 15/4/17

  • Usuario eliminado
    el 15/4/17

     esto es lo que me da mi señorita profe, pero no lo relaciono con los ejercicios

    replythumb_up0 voto/sflag
    icon

    Ángel
    el 15/4/17

    Pues si te fijas bien en el anterior ejercicio hemos usado las 5 reglas de derivación y de las tablas de derivadas por ahora las 5 primeras.

    Muy acertada esa tabla :)


    Para el último utiliza la "técnica" derivada de un cociente


    thumb_up1 voto/sflag
  • icon

    Nicolas
    el 15/4/17

    Como seria esto?Gracias

    Evaluar el polinomio p(x) , en cada caso , en todos los valores indicados y rodear aquellos que sean raíces de p(x)

    a) p(x)=x4-13x2+36                 6         -6         2        -2         3         -3       0

    b) p(x)=o,5x5-3x-10                 1         -1         2        -2         5         -5       0

    c) p(x)=-x4+13x2-36                6         -6          2        -2        3          -3       0

    replythumb_up0 voto/sflag
    icon

    Ángel
    el 15/4/17

    a) y c) son bicuadradas, y en la b) haz ruffini.

    Las soluciones que obtengas las rodeas en tu tabla

    Comentanos ahora tu resultado.


    * Aprovecho para decirte que en tu post anterior obviamente el último apartado es VERDADERO, porque decir que una división es exacta es lo mismo que decir que tiene de resto 0

    thumb_up1 voto/sflag
    icon

    Nicolas
    el 15/4/17

    En el punto b) hice ruffini con todos los numeros y me dio como raiz , solamente  el 2 . Intente hacer en el punto a) y c) ruffini pero no me da , como hago?Gracias

    thumb_up0 voto/sflag
    icon

    Ángel
    el 15/4/17

    Te repito que a) y c) son bicuadradas, tienes que sustituir x2=t, y resolver con una ecuación de segundo grado...obtendrás dos soluciones, con dos soluciones cada una, en total 4:  

    En el ejercicio a) X={-3,-2,2,3}

    En el ejercicio c) X={-3,-2,2,3}

    Las demás no son raíces


    Otra forma de hacerlo es por ejemplo:

    a) p(x)=x4-13x2+36                 con x=6

    p(6)=64-13*62+36 = 1296-468+36≠0 ------------> No es raíz

    .

    .

    .

    y así sucesivamente....pero es aburrido hacer todo eso habiendo métodos más cortos.

    thumb_up0 voto/sflag
  • Usuario eliminado
    el 15/4/17

    Maths buenas tardes, me pongo ahora mismo con la segunda parte de mi tarea de derivadas, te mando el ejercicio, ya no me piden que lo haga siguiendo la definición, solo pone en el enunciado que calcule las derivadas de las siguientes funciones. Como se hace...siguiendo la regla de la cadena o ay algo mas fácil como la tabla de las derivadas....tu me orientas y yo lo vi haciendo. 

    replythumb_up0 voto/sflag
    icon

    Ángel
    el 15/4/17

    La tabla de las derivadas la tienes que tener siempre presente (imprímelas), la regla de la cadena se aplica a funciones compuestas y el orden de prioridad lo puedes ver en los vídeos de Unicoos, en tus apuntes o haciendo muchas.

    a)y= x2/∛x= x2*x-1/3= x5/3

    y´= 5/3*x5/3 -1

    y´= (5x2/3)/3

    y´= (5∛x2)/3


    b) y´= 7*(5x^3-3x^2+2x-6)6*(15x^2-6x+2)        

    c)derivada de una multiplicación: (derivada 1º)*(2º)+(1º)*(derivada 2º)

    d) y=√u

    y´= u´/(2√u)


    thumb_up1 voto/sflag
  • icon

    Luciano Serra
    el 15/4/17

    Hola, Buenas tarde tengo una duda me piden calcular la función inversa de f(x)= Ln (2x)  despejo tal que y= Ln 2 + Ln x ----> y - Ln 2 = Ln x -----> x = ey - ln 2 , esta es la conclusión que saco pero no estoy seguro de haberlo echo correctamente. por convención h(x)=ex - ln 2 . Desde ya muchas gracias!!

    replythumb_up0 voto/sflag
    icon

    Antonius Benedictus
    el 15/4/17


    thumb_up1 voto/sflag
    icon

    Luciano Serra
    el 16/4/17

    Muchas Gracias Antonio!. la verdad que yo me compliqué mucho la vida al hacer el ejercicio!!  ambos me dan igual cuando sustituyo el valor de la x.

    thumb_up0 voto/sflag
  • icon

    David Castillo
    el 15/4/17
    flag

    Como puedo resolver la EDP cuasilineal:


    Tras resolver la ecuación diferencial 2𝑥𝑧 𝛿𝑧/𝛿𝑥+ 2𝑦𝑧 𝛿𝑧/𝛿𝑦= 𝑥2 + 𝑦2. ¿Cuál es su solución?
    A. 𝑓(− 𝑥 𝑦,1 2(𝑥2 + 𝑦2) + 𝑧2) = 0
    B. 𝑓(𝑥 𝑦,− 1 2(𝑥2 + 𝑦2) + 𝑧2) = 0
    C. 𝑓(𝑥 𝑦,1 2(𝑥2 + 𝑦2) − 𝑧2) = 0
    D. 𝑓(𝑥 𝑦,−1 2(𝑥2 + 𝑦2) − 𝑧2) = 0
     

    Me podria ayudar... lo resolvi pero no me sale ninguna respuesta... Gracias

    replythumb_up0 voto/sflag
    icon

    César
    el 15/4/17

    Podrias poner tu resolucion?

    thumb_up0 voto/sflag
    icon

    César
    el 15/4/17

    A mi me sale esto aunque hace ni sabe que no resuelvo una de estas 

    thumb_up0 voto/sflag
  • icon

    Nicolas
    el 15/4/17

    No se como hacer esto . Gracias

    Indicar si cada afirmacion es verdadera o falsa y justificar la respuesta

    a) (x-1) es divisor de (x3+2x-3)

    b) (x2+3x-1) divide a (x3+3x2-x)

    c) (x4+3x2-4) es multiplo de (x+1)

    d) el resto de dividir (x4+16) por (x-2) es cero

    e) la division (3x3+8x2+3x-2):(x+2) 


    replythumb_up0 voto/sflag
    icon

    Ángel
    el 15/4/17

    a) (x-1) es divisor de (x3+2x-3)

    VERDADERO. Si haces Ruffini con 1  0   2   -3, al probar con el número 1 verás que te dá de resto cero. te queda así: (x-1)(x2+x+3)


    b) (x2+3x-1) divide a (x3+3x2-x)

    VERDADERO. (x3+3x2-x) / (x2+3x-1) = x*(x2+3x-1) / (x2+3x-1) = x


    c) (x4+3x2-4) es multiplo de (x+1)

    VERDADERO. Si resuelves la ecuación bicuadrada con x2=t, te dan dos soluciones de t....la que nos interesa resulta ser 1=t=x2----------> x= +/- 1, por lo que es múltiplo de x+1 ("gracias a la solución -1)


    d) el resto de dividir (x4+16) por (x-2) es cero

    FALSO. (x4+16) dividido entre (x-2) ----->  cociente: x3+2x2+4+8       resto= 32≠0


    e) la division (3x3+8x2+3x-2):(x+2) 

    (enunciado incompleto).....Al dividir obtienes de cociente: 3x2+2x-1 y de resto cero.


    thumb_up1 voto/sflag
    icon

    Nicolas
    el 15/4/17

    el enunciado completo del punto e) es:

    La division (3x3+8x2+3x-2):(x+2) es exacta

    thumb_up0 voto/sflag
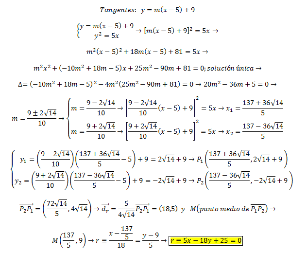
  • Usuario eliminado
    el 15/4/17

          por que no me sale ? =(

    replythumb_up0 voto/sflag
    icon

    Antonius Benedictus
    el 15/4/17


    thumb_up0 voto/sflag