Foro de preguntas y respuestas de Matemáticas

logo beUnicoos
Los foros de unicoos se han unificado en nuestra nueva plataforma beUnicoos. Para dejar nuevas preguntas deberás hacerlo allí, donde además podrás encontrar nuevas asignaturas y herramientas para ayudarte más con tus estudios.

  • icon

    Nicolas
    el 16/4/17

    Cual seria ? Gracias

    replythumb_up0 voto/sflag
    icon

    Ángel
    el 16/4/17

    La a) y la c)

    V(x)=x*x*(x+3)=         x2(x+3)    =       x3+3x2

    thumb_up1 voto/sflag
  • icon

    Nicolas
    el 16/4/17

    Evaluar el polinomio p(x) , en cada caso , en todos los valores indicados y rodear aquellos que sean raíces de p(x)

    a) p(x)=x4-13x2+36                 6         -6         2        -2         3         -3       0

    b) p(x)=o,5x5-3x-10                 1         -1         2        -2         5         -5       0

    c) p(x)=-x4+13x2-36                6         -6          2        -2        3          -3       0


    Gracias!

    replythumb_up0 voto/sflag
    icon

    Ángel
    el 16/4/17

    a) p(x)=x4-13x2+36

    p(-6)=(-6)4-13*(-6)2+36=864

    p(-3)=(-3)4-13(-3)2+36=0 ES RAÍZ

    p(-2)=(-2)4-13(-2)2+36=0 ES RAÍZ

    p(0)=04-13(0)2+36=36

    p(2)=24-13(2)2+36=0 ES RAÍZ

    p(3)=34-13(3)2+36=0 ES RAÍZ

    p(6)=64-13(6)2+36= 864


    Los otros dos los puedes hacer igual.

    thumb_up1 voto/sflag
    icon

    Ángel
    el 16/4/17

    b) p(x)=0.5x5-3x-10

     p(-5)=0.5*(-5)5-3*(-5) -10= -1557.5

     p(-2)=0.5(-2)5-3(-2) -10= -20

     p(-1)=0.5(-1)5-3(-1) -10= -7.5

     p(0)=0.5(0)5-3(0)-10=-10

     p(1)=0.5(1)5-3(1)-10=-12.5

     p(2)=0.5(2)5-3(2)-10=0 ES RAÍZ

     p(5)=0.5(5)5-3x-10=1537.5


    thumb_up1 voto/sflag
    icon

    Nicolas
    el 16/4/17

    Gracias , ya saque el otro tambien


    thumb_up1 voto/sflag
  • icon

    Nahuel Paredes Saavedra
    el 16/4/17

    Ayúdenme en este ejercicio porfavor

    replythumb_up0 voto/sflag
    icon

    César
    el 16/4/17


    thumb_up0 voto/sflag
  • icon

    Nicolas
    el 16/4/17

    1-Multiplicar los siguientes binomios y descubrir una regla general 

    a) (x+4).(x+4)=

    b) (x-2).(x-2)=

    2-Multiplicar los siguientes binomios y descubrir una regla general

    a) (x+8).(x-8)

    b) (x-4).(x+4)


    Gracias!

    replythumb_up0 voto/sflag
    icon

    Ángel
    el 16/4/17

    1-Multiplicar los siguientes binomios y descubrir una regla general---------> (a+b)2=a2+2ab+b2    o        (a-b)2=a2-2ab+b2

    a) (x+4).(x+4)=(x+4)2=x2+8x+16

    b) (x-2).(x-2)=  (x-2)2= x2-4x+4

    2-Multiplicar los siguientes binomios y descubrir una regla general--------->  (a+b)*(a-b)=a2-b2

    a) (x+8).(x-8)= x2-64

    b) (x-4).(x+4)= x2-16

    thumb_up1 voto/sflag
  • Usuario eliminado
    el 16/4/17
    flag

    Esta bien esto? Porque en internet busque para ver gráficas, puse la función y me apareció que es de otra manera.

    Donde dice ïnf" significa infinito


    replythumb_up0 voto/sflag
    icon

    Ángel
    el 16/4/17

    ¿Cuál es la función original?

    thumb_up0 voto/sflag

    Usuario eliminado
    el 18/4/17

    La función es Y= x+2/x (es fracción)

    thumb_up0 voto/sflag
  • icon

    Lea Bampini
    el 16/4/17

    buenas, tengo dificultades en entender un ejercicio, que dice asi: "resolver las siguientes desigualdades. indicar conjuntos mayorantes y minorantes, cotas y extremos, máximos y mínimos del conjunto solución. a)  |(1/x)+1|>2, les agradecería mucho, si me muestran como se desarrolla y el por que, de cada paso,  gracias.


    replythumb_up0 voto/sflag
    icon

    Antonio
    el 16/4/17

    La solución es:

    (-1/3,0) U (0,1)

    thumb_up1 voto/sflag
    icon

    Lea Bampini
    el 16/4/17

    muchas gracias, igual la solucion la tengo, el tema es el paso a paso del ejercicio para llegar a esa solucion es lo que estoy precisando. gracias de nuevo.

    thumb_up0 voto/sflag
    icon

    Antonio
    el 16/4/17

    Debes resolver estas dos ecuaciones:

    (1/x)+1>2    => x < 1

    (1/x)+1> -2  => x > -1/3

    Por lo tanto (-1/3,1)

    pero hay que quitarle el 0 por razones obvias, con lo que:

    (-1/3,0) U (0,1)

    thumb_up1 voto/sflag
    icon

    Lea Bampini
    el 16/4/17

    claro, x no puede tomar el valor 0 , por que no podria existir la inecuacion ya que x esta sola en el denominador, muchisimas gracias, me ayudo mucho.


    thumb_up0 voto/sflag
  • icon

    jorge enrique bueno monje
    el 15/4/17

    Buenas tardes.

    Estaré muy agradecido con la persona que me haga el favor de decir si he solucionado correctamente el siguiente ejercicio:

    Sabiendo que: ; hallar la integral de .

    A continuación adjunto el procedimiento que llevé a cabo:


    Muchas gracias de antemano.

    replythumb_up0 voto/sflag
    icon

    Antonio
    el 16/4/17

    Perfecto

    thumb_up1 voto/sflag
  • icon

    Diego Latorre
    el 15/4/17
    flag

    Buenas podrian ayudarme con este punto, se que se resuelve con propiedades de las integrales, pero ando un poco confundido, gracias

    replythumb_up0 voto/sflag
    icon

    Ángel
    el 16/4/17

    ¿Con qué apartado tienes dudas?

    thumb_up0 voto/sflag
  • icon

    Nicolas
    el 15/4/17

    Completar como en el siguiente ejemplo: ab + ac = a.( b + c )

    a) d + dg = d.(                    )

    b) 10x + 40 = 10.(                         )

    c) x2 + x = x.(                    )

    d) x3 + x2= x2.(                         )

    e) 2x4 - 3x3 = x3.(                         )

    f) 10x4-2x3+4x2= 2x2.(                              )

    g) 1/2x2 + 2x - 1/8x3= 1/2x.(                                   )

    replythumb_up0 voto/sflag
    icon

    Antonio
    el 15/4/17

    a) d + dg = d(1+g)

    b) 10x + 40 = 10(x+4)

    c) x+ x = x(x+1)

    d) x+ x2= x2(x+1)

    e) 2x4 - 3x3 = x3(2x-3)

    f) 10x4-2x3+4x2= 2x2(5x2-x+2)

    g) 1/2x2 + 2x - 1/8x3= 1/2x(x+4-1/2x2)

    thumb_up1 voto/sflag
  • icon

    Marta
    el 15/4/17
    flag

    replythumb_up0 voto/sflag
    icon

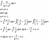
    Antonio
    el 15/4/17

    Aplica:

    t = x+1

    thumb_up0 voto/sflag
    icon

    Antonio
    el 15/4/17


    thumb_up0 voto/sflag