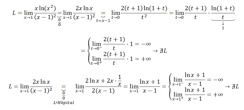
Buenaas al intentar hallar limite cuando. x->1 de x(ln(x)^2)/(x-1)^2 , si resuelvo usando el infinitesimo equivalente de Ln(1+x)~x la solucion me da 1
Pero por otra parte si intento resolverlo por L'hopital el limite me queda infinito
si alguien supiera decirme el proceso por l'hopital y que de 1 la solucion estaria muy agradecido !!!

Tienes la función polinómica, cuyo punto de interés tiene abscisa x0 = 1, cuya expresión es:
f(x) = x3 - 6x2 + 9x - 5, que al evaluar queda: y0 = f(1) = 1 - 6 + 9 - 5 = - 1,
y cuya función derivada tiene la expresión (observa que debes corregir el segundo término):
f ' (x) = 3x2 - 12x + 9, que al evaluar queda: m = f ' (1) = 3 - 12 + 9 = 0.
Luego, pasamos a la ecuación de la recta tangente: tenemos su pendiente (m = 0) y tenemos uno de sus puntos ( P0(1,-1) ), por lo que planteamos:
y - y0 = m(x - x0), reemplazamos valores y queda:
y - (-1) = 0*(x - 1), resolvemos signo en el primer miembro, resolvemos el segundo miembro y queda:
y + 1 = 0, hacemos pasaje de término y queda:
y = - 1, que es la ecuación de la recta tangente a la gráfica de la función, que pasa por su punto con abscisa - 1 (observa que la recta tangente resulta ser paralela al eje de abscisas OX).
Espero haberte ayudado.
Buenas tardes.
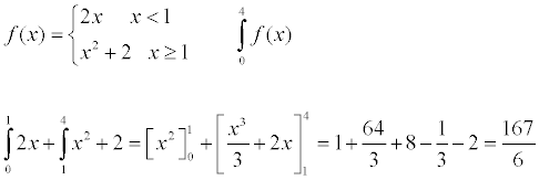
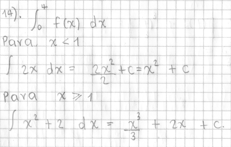
Estaré muy agradecido con aquella persona que me haga el favor de aclarar una pequeña duda. El ejercicio es el siguiente:
Para dar solución al problema tomé la decisión de hallar la integral de las funciones
y
por separado, obteniendo de ésta manera:
Finalmente, reemplacé el valor de 4 en la variable equis de la integral para x>=1 y al resultado obtenido le resté el número que obtuve de reemplazar el valor de 0 en la variable equis de la integral para x<1.
Mi inquietud es la siguiente: el proceso que llevé a cabo es correcto?

Puedes expresar a la integral como suma de dos integrales, con punto de corte x = 1.
I = 0∫4 f(x)dx = 0∫1 2xdx + 1∫4 (x2 + 2) dx (1).
Luego, evaluamos las dos integrales por separado, con las funciones primitivas cuyas expresiones has determinado (indicamos con corchetes que debemos evaluar con la Regla de Barrow):
0∫1 2xdx = { x2 ] = 12 - 02 = 1 - 0 = 1;
1∫4 (x2 + 2) dx = [ x3/3 + 2x ] = (43/3 + 8) - (13/3 + 2) = 88/3 - 7/3 = 2.
LUego reemplazamos en la ecuación señalada (1) y queda:
I = 1 + 27 = 28.
Espero haberte ayudado.
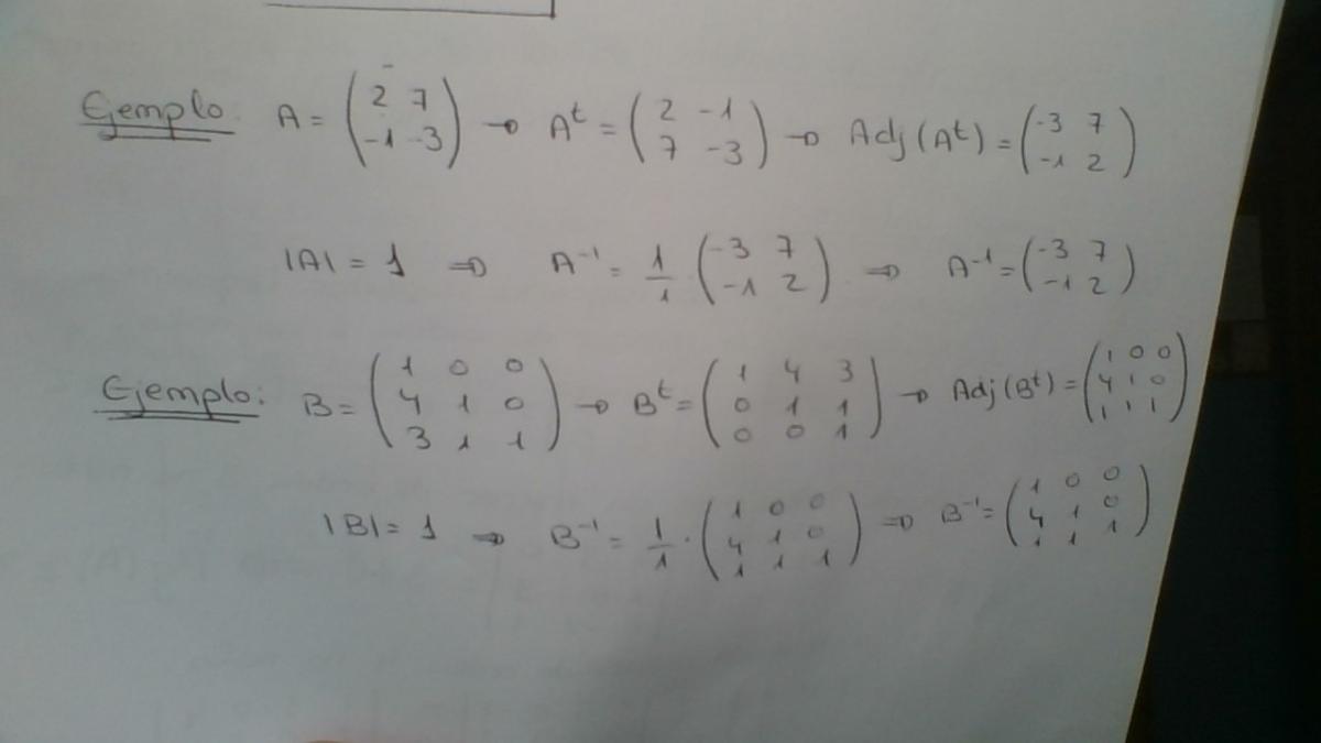
Hola, ayuda por favor, creo que estos ejemplos que me ha dado mi profesora están mal:
Es sobre cómo calcular una matriz inversa con determinantes, lo que pasa que creo que tiene un error al hacer el Adj (At) en ambos casos, porque yo pensaba que:
Y si es así, mi profesora no ha puesto los signos negativos a c y b... estoy muy confusa, graciasssssssss
Maths, en el apartado b del ejercicio me piden que halle la ecuación de la recta tangente a la grafica de la función en el punto x=1.
Tengo la solución, pero no se el procedimiento, pienso que después de desarrollar todo lo de antes ahora vendrán cosillas menos liosas no....jijijij.
Cuando tu puedas.