Foro de preguntas y respuestas de Matemáticas

logo beUnicoos
Los foros de unicoos se han unificado en nuestra nueva plataforma beUnicoos. Para dejar nuevas preguntas deberás hacerlo allí, donde además podrás encontrar nuevas asignaturas y herramientas para ayudarte más con tus estudios.

  • icon

    Marta
    el 15/4/17
    flag

    Alguien sabe hacer el apartado d)?

    replythumb_up0 voto/sflag
    icon

    Antonius Benedictus
    el 15/4/17


    thumb_up0 voto/sflag
  • icon

    Marta
    el 15/4/17
    flag

    Alguien sabe hacer este ejercicio?

    replythumb_up0 voto/sflag
    icon

    David
    el 17/4/17

    ¿Puedes dejarnos alguna duda concreta (y en castellano)? GRACIAS!

    thumb_up0 voto/sflag
  • icon

    Nicolas
    el 15/4/17

    Descubrir cuales de las siguientes expresiones algebraicas son diferencias de cuadrados ,  y a las que lo seas expresarlas como producto.Gracias

    a) x4-25=

    b)169-x10=

    c) 64x6-9=

    d) -225+x8=

    e) x4+9=

    f) 4x20-1=

    g) 4x2-81=

    h) 25x4+100=

    I) 0,25 - x4=

    j) 9x2-7=

    k) -25x2 +100=

    l) x6-36=

    replythumb_up0 voto/sflag
    icon

    Antonio
    el 15/4/17

    a) x4-25=(x2-5)(x2+5)

    b)169-x10=(13-x5)(13+x5)

    c) 64x6-9=(8x3-3)(8x3+3)

    d) x8-225=(x4-15)(x4+15)

    e) x4+9=

    f) 4x20-1=(2x10-1)(2x10+1)

    g) 4x2-81=(2x-9)(2x+9)

    h) 25x4+100=

    I) 0,25 - x4=(0,5 - x2)(0,5 + x2)

    j) 9x2-7=(3x-√7)(3x+√7)

    k) 100-25x=(10-5x)(10+5x)

    l) x6-36=(x3-6)(x3+6)

    thumb_up0 voto/sflag
    icon

    Nicolas
    el 15/4/17

    y cuales son diferenciade cuadrado?

    thumb_up0 voto/sflag
    icon

    Antonio
    el 15/4/17

    Todas salvo las dos que no hice por no ser. (fíjate, son sumas)

    diferencia de cuadrado es una diferencia o resta de cuadrados o algo elevado al cuadrado

    a2-b2


    thumb_up1 voto/sflag
  • Usuario eliminado
    el 15/4/17

    Como se hace esta Función Homografica? y=(x+2)/x

    replythumb_up0 voto/sflag
    icon

    Antonius Benedictus
    el 15/4/17

  • icon

    Nicolas
    el 15/4/17


    Extraer factores comunes y transformar las expresiones en productos

    a) x3+ x

    b) x7+ 5x5- 3x

    c) m3x4- m2x3+m4x2

    d) 10x5+15x4- 5x-10x2

    e) 6x+ 12x3

    f) mx5+ 3mx3

    g) 5x5+ 25x3- 5x

    h) 7mx8 - 14mx7

    i) 11x6- 22x3+ 33x2

    replythumb_up0 voto/sflag
    icon

    Ángel
    el 15/4/17

    a) x3+ x

    x(x2+1)

    b) x7+ 5x5- 3x

    x4(x3+5x-3)

    c) m3x4- m2x3+m4x2

    m2x2(mx2-x+m4

    d) 10x5+15x4- 5x-10x2

    5x2(2x3+3x2-x-2)

    thumb_up1 voto/sflag
    icon

    Nicolas
    el 15/4/17

    Y como transformo las expresiones en producto??? Gracias


    thumb_up0 voto/sflag
    icon

    Ángel
    el 15/4/17

    e) 6x+ 12x3

    6x3(x2+2)

    f) mx5+ 3mx3

    mx3(x2+3)

    g) 5x5+ 25x3- 5x

    5x(x4+5x2-1)----->   hazle la bicuadrada a este para ver si puedes sacar factor común

    h) 7mx8 - 14mx7

    7mx7(x-2)

    i) 11x6- 22x3+ 33x2

    11x2(x4-2x+3)----------> ídem

    thumb_up1 voto/sflag
    icon

    Antonius Benedictus
    el 15/4/17

    icon

    Ángel
    el 15/4/17

    Ya están transformadas en productos...por ejemplo:

    mx3(x2+3)= m*x3*(x2+3)

    thumb_up1 voto/sflag
    icon

    Antonio
    el 15/4/17

    fíjate que lo que está fuera del paréntesis es lo que se repite en todos los sumandos y lo que está dentro es lo que al no estar repetido no pudo salir, es por tanto, lo que sobra.

    Extraer factores comunes es sacar cosas repetidas


    thumb_up1 voto/sflag
  • Usuario eliminado
    el 15/4/17

    El primero no veo en la tabla que tengo esa definición que me mandas, el segundo no entiendo como llegas a ese razonamiento y en el tercero me quedado aki.

    Te subo la foto.

    Gracias por todo.

    replythumb_up0 voto/sflag
    icon

    Ángel
    el 15/4/17

    El a) te he remarcado la propiedad en el mensaje anterior 

    El b) derivada de suma/diferencia y regla de la cadena

    Para seguir en el c) tienes que hacer multiplicación de polinomios http://www.vitutor.com/ab/p/a_6.html 

    thumb_up1 voto/sflag

    Usuario eliminado
    el 15/4/17

    gracias Maths, me voy a poner con biología un rato, la química y la física sobre todo química me quedara para septiembre, amo ver muchas veces me da vértigo nada mas de pensarlo, pero ya que empezado lo terminare. Buenas noches. Xd

    thumb_up0 voto/sflag
  • icon

    Laura
    el 15/4/17

    Buenas tardes, me podrían ayudar a hallar la unión de quemados y picados? 

    replythumb_up0 voto/sflag
    icon

    Antonius Benedictus
    el 15/4/17


    thumb_up0 voto/sflag
    icon

    Antonio
    el 15/4/17

    Nos hacemos una tabla de contingencia


    QQ'
    P268
    P'71017

    91625

    P(P/Q) = 2/9

    thumb_up0 voto/sflag
  • icon

    Nicolas
    el 15/4/17

    No se hacer esto.Gracias

    Efectuar las siguientes divisiones entre monomios:

    a) (-4x3):(2x2)=

    b) (8x9):(1/8x9 )=

    c) 0:(2x6)=

    d) (9x7):(2x3)=

    replythumb_up0 voto/sflag
    icon

    Antonio
    el 15/4/17

    Divide los coeficientes

    Resta los exponentes

    a) (-4x3):(2x2)=-2x

    b) (8x9):(1/8x)=64

    c) 0:(2x6)=0

    d) (9x7):(2x3)=9/2 x4

    thumb_up1 voto/sflag
    icon

    Ángel
    el 15/4/17

    Cuidado con la b):

    (8x9):(1/8x)=  (8x9):(8x-9)=  (8x9)*(8x9)= 64x18

    thumb_up0 voto/sflag
    icon

    Antonio
    el 15/4/17

    Entiendo que  1/8x9 es (1/8)x9 y no 1/(8x9)

    thumb_up0 voto/sflag
  • icon

    Guillem De La Calle Vicente
    el 15/4/17
    flag

    Subgrupos de números primos con residuos desigualmente distribuidos mod 4

    He estado haciendo algunas investigaciones como hobby. En resumen, estoy mirando los números primos cuyos cuadrados dividen un cierto número de la forma nn+(-1)n(n-1)(n-1). He encontrado que para primos de hasta 800.000, aproximadamente el 55% de ellos son equivalentes a 1 mod 4. Sé que hay teoremas que prueban que los primos en general están uniformemente distribuidos a través de cualquier módulo; Más específicamente, que la densidad de primos equivalente a un mod n es (1)/(Φ(n)). Pensé que era muy extraño que un sesgo tan pequeño pero aparentemente sólido apareciera en un lugar tan aleatorio - ¿Alguien sabe de subconjuntos similares de primos donde se ha probado / conjeturado que alguna forma de sesgo como este aparece?

    replythumb_up0 voto/sflag
    icon

    David
    el 17/4/17

    No, lo siento.... 

    thumb_up0 voto/sflag
  • icon

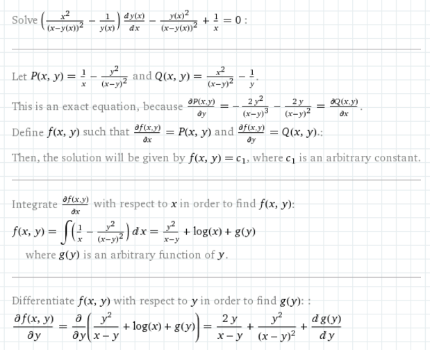
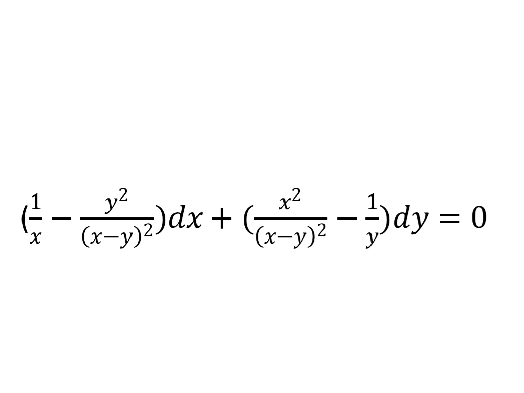
    Rocio Elizabeth Lazo Gamarra
    el 15/4/17

    Buen día, quisiera que me ayuden con este ejercicio por favor... he intentando con el  método de las exactas pero se hace demasiado largo e irreducible, así es que recurro a ustedes para que me puedan ayudar. Muchas gracias :) 


    replythumb_up0 voto/sflag
    icon

    Antonius Benedictus
    el 15/4/17


    thumb_up1 voto/sflag