Foro de preguntas y respuestas de Matemáticas

logo beUnicoos
Los foros de unicoos se han unificado en nuestra nueva plataforma beUnicoos. Para dejar nuevas preguntas deberás hacerlo allí, donde además podrás encontrar nuevas asignaturas y herramientas para ayudarte más con tus estudios.

  • icon

    Julio Rojas
    el 14/4/17

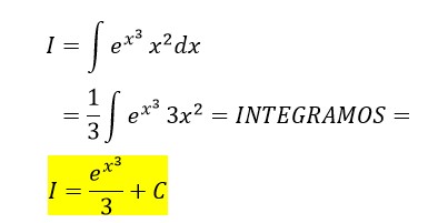
    estoy resolviendo una integral por partes pero me queda esto y no se como hacer la verdad ,  ∫e^x 3x^2

    replythumb_up0 voto/sflag
    icon

    Axel Morales Piñón.
    el 14/4/17

    ¡Directa Julio!


    thumb_up0 voto/sflag
  • icon

    Angelo Gallegos Parra
    el 14/4/17
    flag

    me podran ayudar es un problema de induccion 

    replythumb_up0 voto/sflag
    icon

    David
    el 17/4/17

    No veo la imagen, lo siento...

    thumb_up0 voto/sflag
  • Usuario eliminado
    el 13/4/17

          613, ya saque la pendiente pero al hacer la derivada de la funcion para obtener mi tangente me confunde ... muchísimas gracias !

    replythumb_up0 voto/sflag
    icon

    Antonius Benedictus
    el 13/4/17


    thumb_up0 voto/sflag
  • icon

    Marcos
    el 13/4/17
    flag

    Duda de universidad (análisis matemático): 




    replythumb_up0 voto/sflag
    icon

    Ángel
    el 14/4/17

    x^2-40x+0.25=0

    x1,2= [40+/-√(1600-1)]/2 ------------->      x1= 0.006250976868

                                                                       x2= 39.99.....


    |x1| < |x2|


    |x1| en punto flotante con 4 decimales: = 0.0062

    |x1| en aritmética exacta= 0.006250976868


    Error relativo= 0.006250976868-0.0062= 0.000050768678= 5.09768678*10-5


    Se pierden dígitos significativos debido a la menor precisión de coma flotante comparada con la aritmética exacta.

    Puedes calcular la raíz con una mayor precisión utilizando el Método de la bisección o uno más conocido que seguramente tengas entre los apuntes: el Método de Newton-Raphson.

    thumb_up0 voto/sflag
    icon

    Marcos
    el 14/4/17

    Muchísimas gracias. 

    Un abrazo

    thumb_up0 voto/sflag
  • icon

    Marcos
    el 13/4/17
    flag

    Duda de universidad (análisis matemático):


    Desde ya muchas gracias

    replythumb_up0 voto/sflag
    icon

    Antonio
    el 13/4/17

    a) Si la operación la hace el municipio 7.15 · 9.3 /100 = 0.66

     Si la operación la hacemos nosotros 7.15 · 9.3 /100 = 0.66495

    b) Si la operación la hace el municipio  0.66 · 14000000=9240000

     Si la operación la hacemos nosotros 0.66495 · 14000000=9309300

    Diferencia 9309300-9240000=69300

    c) Que actualice su software!!!

    o que utilice más decimales (cuántos más mejor)

    thumb_up0 voto/sflag
  • icon

    Marc
    el 13/4/17

    Vuelvo a escribir el mensaje a petición de Guillem. Es la integral número cuatro. Pongo foto

    replythumb_up0 voto/sflag
    icon

    Marcos
    el 13/4/17

    Hola, te doy pistas que te pueden servir :

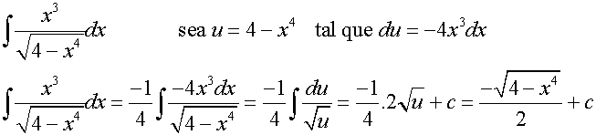
    Primero: tenes que aplicar sustitución de u = x4

                                                                               du = 4x3 dx

    Segundo: sacar la constante 

    Tercero: aplicar sustitución nuevamente v = 4-u

                                                                              dv = - du

    Cuarto: ahi ya queda bastante más facil, cualquier cosa volve a preguntar e intento seguir ayudando. Abrazo


    thumb_up0 voto/sflag
    icon

    Jaykel
    el 13/4/17


    thumb_up0 voto/sflag
  • icon

    Guillem De La Calle Vicente
    el 13/4/17
    flag

    Que D sea la declaración "El dólar es fuerte", Y la declaración "El Yuan es fuerte" y T la declaración "Nuevo acuerdo comercial de EE.UU.-China firmado". Expresar el contenido principal de cada uno de los siguientes (ficticios) títulos de periódico en notación lógica. (Recuerde, la notación lógica capta la verdad, pero no los muchos matices e inferencias del lenguaje natural.) Como antes, asegúrese de que podría justificar y defender sus respuestas.
        (A) El nuevo acuerdo comercial llevará a monedas fuertes en ambos países.
        (B) Dólar fuerte significa un Yuan débil.
        (C) El acuerdo comercial fracasa con la noticia de un dólar débil.
        (D) Si se firma un nuevo acuerdo comercial, el dólar y el yuan no pueden seguir siendo fuertes.
        (E) Dólar débil pero Yuan fuerte, siguiendo nuevo acuerdo comercial.
        (F) Si el acuerdo comercial es firmado, un aumento en el yuan dará lugar a una caída en el dólar.
        (G) El nuevo acuerdo comercial significa que el Dólar y el Yuan subirán y caerán juntos.
        (H) El nuevo acuerdo comercial será bueno para una parte, pero nadie sabe qué.

    replythumb_up0 voto/sflag
    icon

    David
    el 17/4/17

    Lo siento pero no podemos ayudarte con lógica, que ya no se da en matemáticas preuniversitarias...

    thumb_up0 voto/sflag
  • icon

    Julio Rojas
    el 13/4/17

    holas una ayuda con esta integral, muchas gracias 

    replythumb_up0 voto/sflag
    icon

    Axel Morales Piñón.
    el 13/4/17

    Por partes Julio:

    u = ln(x+1)

    dv=x dx

    thumb_up0 voto/sflag
    icon

    Julio Rojas
    el 13/4/17

    mmm si cosa es que el resultado no me da como el libro 

    thumb_up0 voto/sflag
    icon

    Marcos
    el 13/4/17

    https://www.symbolab.com/solver/step-by-step/%5Cint%20xln%5Cleft(x%2B1%5Cright)


    Fijate eso te puede ayudar, sino te lo hago a mano paso por paso

    saludos

    thumb_up0 voto/sflag
    icon

    Antonius Benedictus
    el 13/4/17


    thumb_up1 voto/sflag
    icon

    Julio Rojas
    el 14/4/17

    gracias por la ayuda, y por la pagina que me pasaste marcos

    thumb_up0 voto/sflag
  • icon

    Sebastian Canaviiri
    el 13/4/17

    Hola una pregunta alguna me ayuda con este ejercicio(21) es El último que me falta para terminar El repartido, desde ya gracias !

    replythumb_up0 voto/sflag
    icon

    César
    el 13/4/17

    cual es el 21??

    thumb_up1 voto/sflag
    icon

    Sebastian Canaviiri
    el 13/4/17

    Mil perdones me olvide de la imagen jaja 

    thumb_up0 voto/sflag
  • icon

    Marc
    el 13/4/17

    Cual es la integral de x3 /√4-x4 . Gracias por la ayuda

    replythumb_up0 voto/sflag
    icon

    Guillem De La Calle Vicente
    el 13/4/17

    Pon foto del enunciado original, Marc.


    thumb_up0 voto/sflag
    icon

    Axel Morales Piñón.
    el 13/4/17

    Cambio de variable t = 4-x4

    thumb_up0 voto/sflag