Buenas tardes como puedo resolver el siguiente ejercicio relacionado con funciones trigonométricas.
* Sen^-1 (√2/2)
- Buenas me podéis explicar este ejercicio por favor se que tiene que dar como respuesta R// π/4
- Pero explicarme por favor, ya vi los videos de unicoos y sigo sin entenderlo (mas precisamente los relacionados con una tabla para los angulos 30 - 60 - 90).
Hola, primero ten en cuenta que π/4 = 45° (2π=360°)
Una forma de hacerlo seria poner en la calculadora sen^-1 (√2/2) y dependiendo si la tienes configurada en radianes o grados sexagesimales te va a dar π/4 o 45 grados
La otra forma seria viendo esa tabla que dices, tienes que hacer el razonamiento al reves, osea, debes preguntarte para que valor del angulo el seno me da √2/2, y veras que efectivamente corresponde al angulo π/4 = 45°
Realmente la tabla solo sirve si los profes no te dejan ocupar calculadora xD, sinceramente no sé porque no te da, acabo de probar con 3 calculadorasa distintas y me da lo mismo, debes tener ojo con los parentesis.
PD: recuerda que la cosecante es la inversa multiplicativa del seno mientras que arcoseno ( sen^-1) es la función inversa del seno.

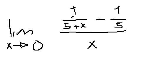
Observa que tanto el numerador (N) como el denominador (D) tienden a cero, por lo que el límite es indeterminado.
Luego, observa el numerador:
N = 1/(5+x) - 1/5 = extraes denominador común:
= ( 5 - (5+x) ) / 5(5 + x) = distribuyes el agrupamiento en el numerador:
= (5 - 5 - x) / x(5 + x) = cancelas términos opuestos en el numerador:
= (- x) / x(5 + x) = simplificamos = - 1/(5 + x).
Luego, planteamos el argumento completo:
N/D = (- 1)/(5 + x) / x = resolvemos = (- 1) / x(5 - x).
Luego, planteamos el límite
L = Lím(x→0) (- 1) / x(5 - x) = ∞, ya que el numerador es igual a - 1, y el denominador tiende a cero.
Espero haberte ayudado.
![]()
Buenas tardes Unicoos será que me puede no indicar que puedo hacer para resolver el #3? Llegue hasta aquí pero no sabría que más hacer.
gracias !
La condición para que la función sea contínua es que los límites laterales coincidan. Has resuelto casi correctamente (excepto un signo) esta condición de igualdad y tienes que resolver el sistema compuesto por (*) y (**), en este caso la solución es por sustitución:
Sustituyes (*) en (**) y queda: a= [-2-(2+a)]/3 -------> (3a)/3=[-2-(2+a)]/3 -----------> 3a=-2-(2+a) -----------> 3a=-2-2-a ---------> 4a=-4 ----> a=-1
Sustituyes a=-1 en (*) y queda: b=2+(-1) -----> b=1
Para que f(x) sea contínua los valores de las constantes han de ser a=-1 y b=1
¿hola, hay en la pagina ejercicios resueltos de matemáticas de 3ESO?
Un montón en los vídeos.... http://www.unicoos.com/cursos/3-eso/matematicas
y quizá te interese alguno de por aquí... http://www.unicoos.com/cursos/2-eso/matematicas y http://www.unicoos.com/cursos/4-eso/matematicas
si te refieres en formato PDF y eres Pro, David te indicará mejor que yo.
Hola quería saber si me pueden resolver este problema que no se como se hace y lo necesito ya gracias, tengo que hallarlo mediante sistema de ecuaciones pero solo necesito el SISTEMA no la solución
2: Halla dos números sabiendo que el primero es 12 unidades mayor que el segundo; pero que, si restásemos 3 unidades a cada uno de ellos, el primero sería el doble que el segundo
sabiendo que el primero es 12 unidades mayor que el segundo ---------> x=y+12 (*)
si restásemos 3 unidades a cada uno de ellos, el primero sería el doble que el segundo------------> x-3=2(y-3) (**)
Sustituyendo (*) en (**) obtenemos:
(y+12)-3=2y-6
Resolvemos:
y+12-3=2y-6
y=15
Sustituimos y=15 en (*) y obtenemos: x=15+12=27

Llamemos x al primer número, y llamemos y al segundo número.
Luego tenemos:
x = y + 12 (1) ("el primero es doce unidades mayor que el segundo")
x - 3 = 2*(y - 3) ("si restamos tres unidades a cada uno, el primero es igual al doble del segundo").
Luego, tienes x despejado en la primera ecuación, por lo que sustituyes en la segunda y queda:
y + 12 - 3 = 2*(y - 3), reducimos términos semejantes en el primer miembro, distribuimos el segundo y queda:
y + 9 = 2*y - 6, hacemos pasajes de términos, reducimos términos semejantes, y queda:
- y = - 15, multiplicamos por -1 en ambos miembros y queda:
y = 15, luego reemplazamos en la ecuación señalada (1), y queda:
x = 15 + 12 = 27.
Espero haberte ayudado.
Demuestre que f(x)=(x)/(x+1) es la solución única a una ecuación funcional.
Se nos da una función f: ℚ⁺ → ℚ⁺ tal que
f(x)+f(1/x)=1
y
f(2x)=2f(f(x))
Hallar, con prueba, una expresión explícita para f(x) para todos los números racionales positivos x.
Cada número que he evaluado es de la forma f(x)=(x)/(x+1) y esto se ajusta claramente a las ecuaciones funcionales, pero no puedo probar que es la única solución. ¿Alguien puede ayudarme? He puesto el comienzo de mi trabajo que me llevó a la conjetura de f(x)=(x)/(x+1).
Conectando x = 1 damos claramente f (1) = 1/2 y f (2) = 2f (f (1)) = 2f (1/2) que podemos conectar en la primera ecuación para obtener que f (2 ) = 2/3. Trabajando en esta línea he podido demostrar que f (x) = (x) / (x + 1) para valores particulares de x, pero no en general.
La parte más difícil parece probarla para los enteros pares. Para demostrar x = 8, tenemos f (12) = 2f (6/7) = 4f (3/10) = 4-8f (5/8) = 8f (8/5) -4 = 16f (4/9 ) -4 = 32f (2/11) -4 = 64f (1/12) -4 = 60-64f (12) dándonos f (12) = 12/13. Este será probablemente el principal área de dificultad en la prueba.

Me encantaría ayudarte, pero no respondo dudas universitarias que no tengan que ver específicamente con los videos que ya he grabado como excepcion. O de otras asignaturas que no sean matemáticas, física y química. Lo siento de corazón… Espero lo entiendas
Ojalá algun unicoo universitario se anime a ayudarte (de hecho lo ideal es que todos los universitarios intentarais ayudaros los unos a los otros)
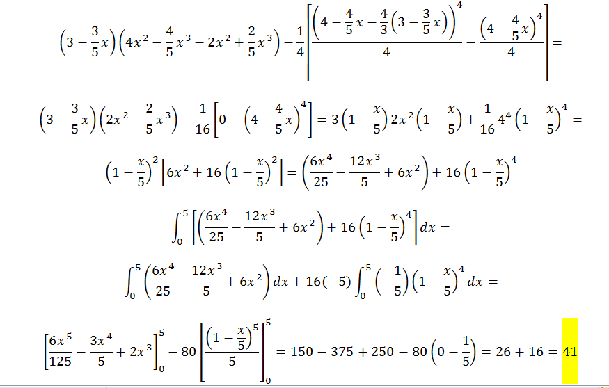
Hola a todos, tendré examen la próxima semana con integrales de este estilo. ¿Conocen alguna manera óptima para hacerla sin perder tanto tiempo en
demasiadas operaciones? (Su respuesta es 41).
