Calcula a y b para que la función f(x) = aIn x + bx 2 + x tenga extremos relativos en x=1 y en x=2.
Hago la derivada y me sale 0= a+2b 0= -b +4b pero no me sale.
Buenas alguien me podria explicar el desarrollo para este ejercicio?
5x+ky=0
2x+4y+kz=3
x+y+2z+2kt=2
5x+y+z+2t=3k
Discutir el sistema segun los valores de k
Hola
Pueden brindarme un poco de ayuda, habla de perímetro de un triangulo equilátero y de un cuadrado, sus perímetros son iguales. ¿No comprendo que pide el problema?
¿Alguna proporción o relación?
Muchas gracias.

Si el perimetro es igual entonces: 3x=4y=>(3x/4Y)=1 (Siendo x el lado del triangulo e y el lado del cuadrado)
Lo que te piden es el la relacion entre ambas areas, es decir, el area del triangulo partido por el area del cuadrado.
At=(x*h)/2, la altura la sacas por pitagoras
Ac=y^2
Sea x el lado del triángulo
por lo que el perímetro del triángulo es 3x siendo tb el perímetro del cuadrado
por lo que el lado del cuadrado es 3x/4
Ahora bien:
el área del cuadrado es: (3x/4)2 = 9x2/16
y el del triángulo es: x·√(x2-(x/2)2) /2= x· √(3x2/4) /2= x2√3/4
Por lo que la relación entre ambas áreas será:
[x2√3/4]/[9x2/16] = 4√3/9
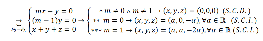
Buen día. Esta consulta va específicamente a Antonio Benito García, ya que es la persona que me ayudo en un problema de sistemas de ecuaciones.
Disculpe, tengo una duda en la resolución del tema, en la tercer paso (tercera llave), al aplicar la operación F2 - F3 ; ni debería de haber quedado en la fila 2 así ________ (m-1) y = 0
Perdón y disculpe la consulta.
Gracias de antemano.
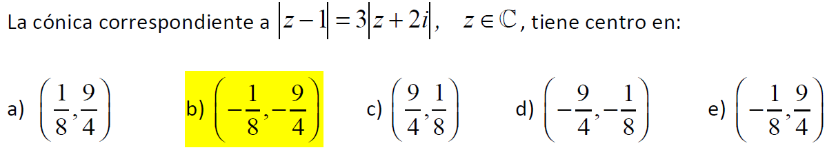
Hola unicoos!!
Hay un ejercicio en el que quisiera que me pudieran ayudar.
No se como o porque la expresión imaginaria corresponde al de una cónica. Necesito hallar el centro de la misma. ¿Cómo puedo identificar la cónica?
Gracias de antemano...
¿Cuántos números capicua de 6 dígitos puedo formar?
cómo se plantea este enunciado? me lo podrían explicar con peras y manzanas? si es posible porfavor