Foro de preguntas y respuestas de Matemáticas

logo beUnicoos
Los foros de unicoos se han unificado en nuestra nueva plataforma beUnicoos. Para dejar nuevas preguntas deberás hacerlo allí, donde además podrás encontrar nuevas asignaturas y herramientas para ayudarte más con tus estudios.

  • icon

    Marta
    el 10/4/17

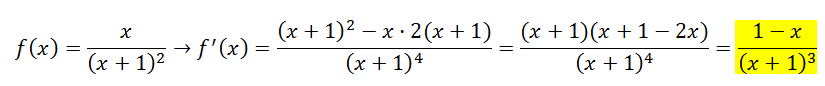
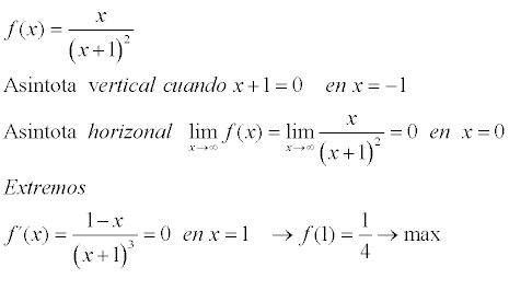
    Me piden

    a) dominio y asimptotas

    b) intervalos de crecimiento y decrecimiento de la funcion

    c)la integral de la función (no la se hacer pero si puede no me la enseñeis con substitución por la t prefiero la integración normal)

    lo demás no sé si es correcto



    replythumb_up0 voto/sflag
    icon

    Guillem De La Calle Vicente
    el 10/4/17

    a) Dominio es correcto. Y asintotas tambien pero corrige que la asintota horizontal está en y=0.

    b) Está correcto, pero mejor que pongas:

    Creciente: (-1,1)

    Decreciente: (-∞, -1)U(1, +∞)

    c) En este caso, creo que es necesario integrar por sustitución: t=x+1


    thumb_up0 voto/sflag
  • icon

    Paula
    el 10/4/17

    Buenas tardes!  Soy alumna de 2o de bachillerato (tecnológico) y mi pregunta es a cerca de los ebooks de unicoos. Quiero hacerme con ellos para lo que queda de curso y la preparación de la PAU. Pero para leerlos desde mi kindle paperwhite; por favor, qué pasos tengo que seguir? ¡Gracias!


    replythumb_up0 voto/sflag
    icon

    César
    el 10/4/17

    si no recuerdo mal estan en PDF, creo



    thumb_up0 voto/sflag
    icon

    Paula
    el 10/4/17

    Pero debo comprar los ebooks desde el propio kindle paperwhite para poder visualizarlos ahí? Gracias, un saludo!

    thumb_up0 voto/sflag
  • icon

    Vivi
    el 10/4/17

    Me ayudan...El punto P(a ,a +3) pertenece a la recta de la ecuacion x + 3y -1 = 0 cuales son las coordenadas del punto P ??

    replythumb_up0 voto/sflag
    icon

    César
    el 10/4/17

    (x,y)=(a,a+3) sustituyendo tenemos

     x + 3y -1 = 0    a+3(a+3)-1=0    4a+9-1=0     4a=-8     a=-2 

    thumb_up0 voto/sflag
  • icon

    Marta
    el 10/4/17

    Es correcto?

    replythumb_up0 voto/sflag
    icon

    Antonius Benedictus
    el 10/4/17


    Solo hay punto estacionrio en x=1 (pues x=-1 no pertenece al dominio).

    thumb_up0 voto/sflag
    icon

    César
    el 10/4/17


    thumb_up0 voto/sflag
  • icon

    Francisco Marin
    el 10/4/17
    flag

    Me ayudais a rellenar la tabla de el medio.

    Son tareas que tengo que entregar en breve y en el foro quimica no me dan la solucion.

    Muchas gracias

    replythumb_up0 voto/sflag
    icon

    Alex
    el 10/4/17

    Si coges una tabla periódica, el numero de arriba a la izquierda es el numero de protones, Z, y el de arriba a la derecha es la masa del nucleo (protones mas neutrones, A), No deberias tener mucha dificultad en rellenarlo, es solamente copiar de la tabla... Electrones y protones asume que hay el mismo número.

    thumb_up0 voto/sflag
    icon

    Vanessa
    el 10/4/17

    espero que te sirva

    http://es.wikihow.com/encontrar-el-n%C3%BAmero-de-protones,-neutrones-y-electrones

    thumb_up0 voto/sflag
    icon

    David
    el 17/4/17

    Tienes un video identico...

    Numeros atomico y masico

    thumb_up0 voto/sflag
  • Usuario eliminado
    el 10/4/17

    Y también por que se elije la X con mayor exponente para hacer de denominador


    replythumb_up0 voto/sflag
    icon

    Alex
    el 10/4/17

    Porque si eliges una con menor exponente te vuelve a quedar indeterminado.

    thumb_up1 voto/sflag

    Usuario eliminado
    el 10/4/17

    por lo tanto hay que elegir siempre el de mayor exponente ...no?

    thumb_up0 voto/sflag
    icon

    Alex
    el 10/4/17

    Exacto.

    thumb_up1 voto/sflag
  • Usuario eliminado
    el 10/4/17


    replythumb_up0 voto/sflag
    icon

    Ángel
    el 10/4/17

    Bien, Julio

    thumb_up0 voto/sflag
  • Usuario eliminado
    el 10/4/17

    BUENAS SUBO UN EJERCICIO QUE ACABO DE HACER, INTENTANDO DE NO MIRR LA SOLUCION, PERO HAY UNAS COSAS QUE NO ENTIENDO:

    En 1er lugar como se llega a la conclusión de que es una indeterminación.

    En 2º lugar, porque al realizar las operaciones, cambia los denominadores por el símbolo del mas infinito.

    Gracias



    replythumb_up0 voto/sflag
    icon

    Alex
    el 10/4/17

    Si sustituyes "x" por infinito, y operas, te da que es infinito arriba y abajo. Eso no se puede resolver, ya que no sabes cual de los dos infinitos es mas grande, o sea, es indeterminado.

    Cambia las x por infinitos porque el limite se está evaluando a mas infinito.

    thumb_up0 voto/sflag

    Usuario eliminado
    el 10/4/17

    en toces cuando te dice que el limite tiende a infinito , como es este caso, ya se deduce que es una indeterminación...no?

    thumb_up0 voto/sflag
    icon

    Alex
    el 10/4/17

    A ver, el limite no tiende a nada, si lo que quieres decir es que si la variable tiende a infinito, entonces el limite es indeterminado, eso no es necesariamente cierto. Por ejemplo, podrias sustituir y que te diera 5/infinito. Eso no es indeterminado, es 0.

    Indeterminado solamente es cuando sustituyes y te queda 0*infinito, infinito/infinito, 0/0, etc...

    thumb_up1 voto/sflag
  • icon

    andres
    el 10/4/17

    Buenas! Necesito ayuda con el dominio de √x^2/x^2+1 no sé si lo escribí bien sería dominio de la raíz cuadrada de x elevedado al cuadrado dividido entre x al cuadrado mas 1

    replythumb_up0 voto/sflag
    icon

    Antonius Benedictus
    el 10/4/17

    Es "toda la recta real" .

    thumb_up0 voto/sflag
    icon

    Miguel Caballero
    el 10/4/17

    Buenos días.

    El dominio pertenecería a todos los reales debido a que cuando es una fracción el dominio se realiza mediante aquellos numeros que hacen cero el denominador pero al ser x elevado al cuadrado cualquier numero va a ser positivo y y es imposible que de cero.

    thumb_up0 voto/sflag
    icon

    Alex
    el 10/4/17

    Tambien deberias sacar del dominio los valores que hacen negativo algo dentro de una raiz cuadrada. En este caso no hay ningun valor de este tipo, pero que lo sepas.

    thumb_up0 voto/sflag
  • icon

    José María Martínez-Pujalte Marsal
    el 10/4/17


    Alguien me puede ayudar con el número 3. Teniendo en cuenta que hay que justificar. Gracias, un saludo a todos.



    replythumb_up0 voto/sflag
    icon

    Antonius Benedictus
    el 10/4/17


    thumb_up1 voto/sflag