Para las siguientes ecuaciones determine una funcion de iteracion y un intervalo de modo que satisfagan las condiciones de convergencia para hallar la minima raiz positiva
a) f(x)= x3 - x - 1 = 0
b=) f(x) = e-x - cos(x) = 0
Tengo que usar el metodo de Newton? La verdad no se que hacer. Desde ya muchas gracias.
Dato: la materia es analisis numerico de la universidad
Muchas gracias

Puedes aplicar el Método de Newton, Raphson y Fourier.
a) Tienes una función continua y derivable n veces en R, que toma los valores:
f(0) = - 1 < 0
f(1) = - 1 < 0
f(2) = 5 > 0,
por lo que, según el Teorema de Bolzano, tienes una raíz real en el intervalo (1,2).
Luego, plantea las expresiones de las derivadas primera y segunda:
f ' (x) = 3x2 - 1
f ' ' (x) = 6x,
luego, planteamos la condición de Fourier:
f(1)*f ' ' (1) = - 1*6 = - 6 < 0,
f(2)*f ' ' (2) = 5*12 = 60 > 0,
por lo que tenemos que el valor de referencia es: x0 = 2.
Luego, planteamos la fórmula recursiva:
xk+1 = xk - f(xk)/f ' (xk), con k ∈ N,
luego reemplazas las expresiones de la función y de su derivada primera,
y obtendrás sucesivas aproximaciones para la raíz perteneciente al intervalo (1,2).
b) Puedes repetir el procedimiento, y observa que tienes:
f(π/3) < 0
f(π/2) > 0,
luego, las expresiones de las derivadas primera y segunda quedan:
f ' (x) = - e-x + senx
f ' ' (x) = e-x + cosx,
y al plantear la condición de Fourier tienes:
f(π/3)*f ' (π/3)´< 0,
f(π/2)*f ' ' (π/2) > 0,
por lo que tenemos que el valor de referencia es: x0 = π/2.
Luego, planteamos la fórmula recursiva:
xk+1 = xk - f(xk)/f ' (xk), con k ∈ N,
luego reemplazas las expresiones de la función y de su derivada primera,
y obtendrás sucesivas aproximaciones para la raíz perteneciente al intervalo (π/3,π/2).
Espero haberte ayudado.
una bomba hidráulica impulsa 4 litros de liquido por minuto con una presión de 230 bares.
un pistón de 25mm de diámetro debe elevar un coche cuya masa es de 1145Kg.
Calcula la presión que ejerce el fluido
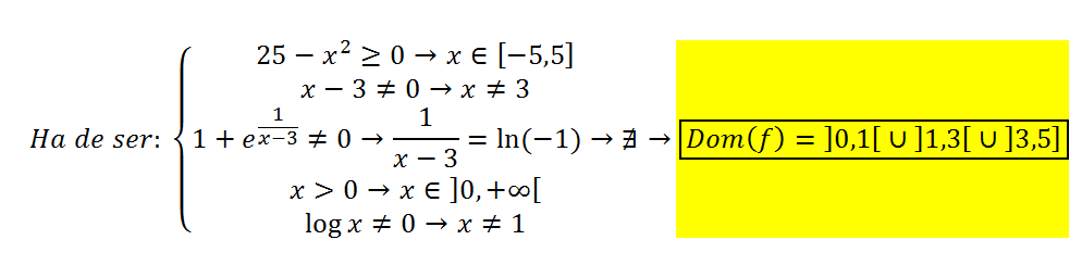
ayudarme!Para verificar la "X" de estas igualdades en valor Absoluto
Esta es la c) del Ejercio [3-x]=4/5
Sin fración se hacer, pero cuando me pon la fración por el medio me pierdo, ¿Algun alma caricativa?
¿Como se resuelve este problema?
En un examen de 30 preguntas dan dos por cada una acertada, pero quitan uno por cada fallo, y hay que contestar a todas. ¿ cuántas preguntas hay que contestar correctamente para aprobar? Se considera aprobado obtener la mitad del máximo de puntos posibles.
Cuando una matriz es linealmente independiente? Osea, si tengo una matriz de 3 x 3. Y su rango es 3, es linealmente independiente?? Y si el rango fuese 2 ? o 1?

Una matriz "no es linealmente dependiente ni independiente". Lo son sus vectores-filas y sus vectores-columnas.
Por ejemplo: Si el rango de una matriz 3x3 es 2, entonces tiene dos filas lin.indep. y la otra fila se puede escribir como combinación lineal de ellas.
Lo mismo para columnas.
Hola, ¿alguien podría ayudarme con el siguiente ejercicio?
Una determinada masa en gramos de una sustancia A ocupa un volumen igual al de 20g de una sustancia B y la densidad de A es 1.5g/mL ¿Cuál es la densidad de B?

da = ma / va = 1.5 g/ml...
db = mb / vb..
Para una masa ma, el volumen vb = va siendo mb=20g
Sustituyendo en la primera ecuacion... 1.5= ma/ va... va=ma/ 1.5 = vb....
Sustituyendo en la segunda... db= 20 / (ma/1.5)... d = 40/(3.ma)... sin saber la masa "a" no podemos saber la densidad de "b"...