
Un suceso simple es un suceso de un espacio muestral. Por ejemplo, al tirar un dado, sacar un 5.
Un suceso compuesto es una pareja (o trío, etc) de sucesos simples, que son del espacio muestral "producto cartesiano". Por ejemplo, al tirar dos veces un dado, obtener dos cincos.
Con el producto cartesiano de dos espacios muestrales obtenemos las parejas de resultados posibles en dos pruebas.
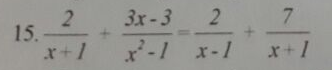
Este problema no se hacerlo, me podeis ayudar?
1. Un tren lleva una velocidad constante y a las 3 horas está a una distancia de 250km y a las 5 horas está a 450km, calcula la expresión analítica de la recta y represéntala.
Hola estoy con límites, y me he quedado atascada. Mi ejercicio es lim(-4x2+ 5x -2) cuando x→∞ y sale -infinito mas infinito. si no me equivoco hay que multiplicar y dividir por el conjugado, pero no tengo muy claro cual es el conjugado en este caso. Alguna ayudita?Saludos y gracias de antemano
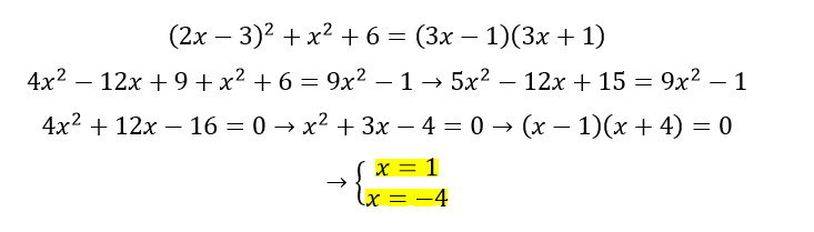
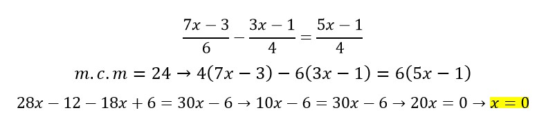
Resuelve la siguiente ecucaion
(2x-3)²+x²+6=(3x+1)(3x-1)
Hola
Por favor me decis si ofreceis servicios para ninos de 6,7 y 8 años? Mi hija de 7 años tiene bastantes problemas con las matemáticas y quiero ayudarla.
En caso negativo , me podéis aconsejar de algún sitio de la calidad didáctica de unicoos para ella?
Gracias
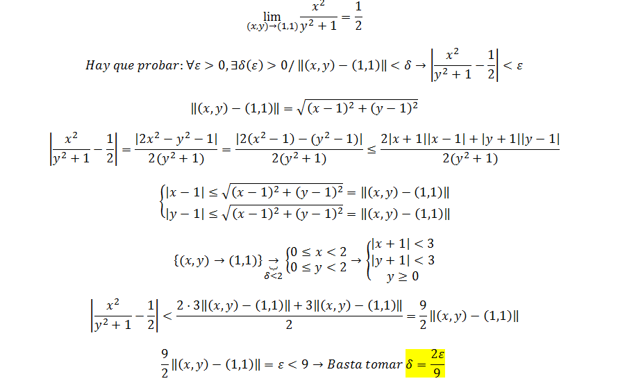
Hola amigos de unicoos estoy trabajando limites de dos variables por definicion y no encuentro una estrategia para resolver los apartados d) y e) los otros lo puedo resolver pero esos no me salen, me podrian ayudar a resolverlo, una pista algo necesito para poder trabajar yo.![]()