Debo encontrar el dominio que creo que es todos los reales menos -1
las asímptotastambien tengo que encontrarlas y estudiar el crecimiento y decrecimiento
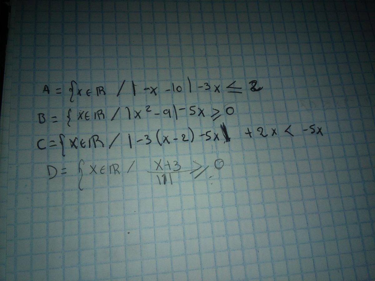
como se hace lo que tengo hecho esta bien?
Marta, creo que tu "error radica" en que pruebas con la calculadora equis que no se acercan tanto como deberían al 1
Prueba con x= -1.0000000001 a la izquierda y con -0.9999999999 a la derecha, observarás que es un número muy grande negativo: nuestra manera de representarlo , el -infinito

Me encantaría ayudarte, pero no respondo dudas universitarias que no tengan que ver específicamente con los videos que ya he grabado como excepcion. O de otras asignaturas que no sean matemáticas, física y química. Lo siento de corazón… Espero lo entiendas
Ojalá algun unicoo universitario se anime a ayudarte (de hecho lo ideal es que todos los universitarios intentarais ayudaros los unos a los otros)
Hola! Por favor necesito ayuda con el ejercicio 1 a). Se como representar puntos en el plano pero nunca sumé o resté los puntos aunque me imagino como debe hacerse. El problema es que no se me ocurre como debería hacer el punto C, el D y el G. No necesito las respuestas, sino una breve explicación de como se hace ya que estudio sola desde mi casa. Si me pueden ayudar se los voy a agradecer!

C = 2A = 2(3,3) = el factor escalar multiplica a cada coordenada por separado = (2*3,2*3) = (6,6).
D = -A = -1(3,3) = (-1*3,-1*3) = (-3,-3).
E = A + B = (3,3) + (-2,1) = sumas coordenada a coordenada = (3+(-2),3+1) = (3-2,3+1) = (1,4).
F = B - A = (-2,1) - (3,3) = restas coordenada a coordenada = (-2-3,1-3) = (-5,-2).
G = -B = -1(-2,1) = (-1*(-2),-1*1) = (2,-1).
k*A = k*(3,3) = (k*3,k*3),
y para k = 0, 1, 2, -1, -2, tienes los puntos: (0,0), (3,3), (6,6), (-3,-3), (-6,-6).
k*F = k*(-5,-2) = (k*(-5),k*(-2)) = (-5*k,-2*k),
y para k = 0, 1, 2, -1, -2, tienes los puntos: (0,0), (-5,-2), (-10,-4), (5,2), (10,4).
Y solo queda que representes gráficamente todos los puntos.
Espero haberte ayudado.