Como se resuelve un sistema indeterminado por la matriz pseudoinversa?? (Cuando tengo mas ecuaciones que incognitas). Saludos y gracias de antemano!
Hola. Encontré que si resolvía x2/y2 invirtiendo el exponente de "y" saldría x2y-2 , sin embargo, si a x2/y2 = x2/ ( 1/y2) = (con la propiedad de las fracciones, a/[b/c] = [a.c]/b) x2y2 ,
¿Cuál de las dos utilizaría como respuesta?. Gracias.
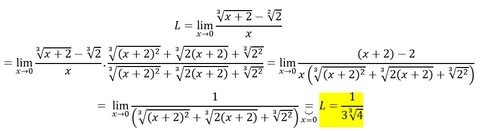
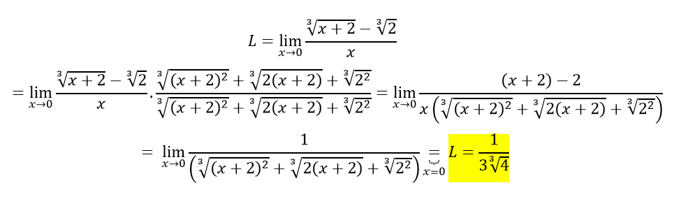
No puedo encontrar el sig. límite es el número 3

3) Vamos con una orientación.
Observa que es indeterminado, ya que el numerador y el denominador tienden, ambos, a cero.
Luego, recuerda la factorización de una resta de cubos perfectos: (a-b)(a2+ab+b2) = a3 - b3.
Luego, multiplicas al numerador y al denominador por: ( (∛(x+2))2 + ∛(x+2)*∛(x) + (∛(x))2 ),
y luego distribuyes en el numerador y queda: (∛(x+2))3- (∛(x))3 = (x+2) - x = 2.
Luego, puedes continuar la tarea.
Espero haberte ayudado.
Los videos de 3º eso de matematicas no me salen
siempre salen de 4º eso que hago mal. Gracias
Es debido al solapamiento de contenidos (temario de 3º de la ESO se repite en 4º y con temario de 4º se tiene contacto en 3º, incluso en cursos anteriores)
¿Mi recomendación? Mírate tanto los de 3º como los de 4º del tema que te interese...serán acordes a tu nivel escojas los que escojas ;)
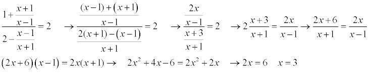
Solución x=2 (debes tener en cuenta que en x=-1 la ecuación está indefinida)
Prometo que me he puesto a hacértela sobre el papel, pero cuando llevaba una cara estaba viendo que el proceso iba a ocupar 3 o 4 folios por las dos caras. Pero también te digo...todo lo que tiene de largo este ejercicio lo tiene de sencillo.
Si tienes alguna duda concreta a la hora de realizarlo no dudes en preguntar
necesito saber solucion de la formula (3X-5elevado a la 2x )por cos(3xelevado al ubo +2elevado a la 4x
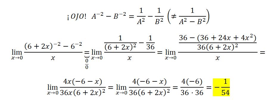
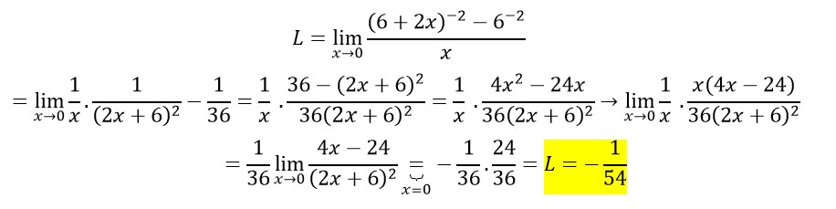
Buenas Tardes tengo problemas para resolver el limite numero dos de la imagen, trate de resolverlo pero mi resultado fue 24.