Hola! Buenas noches! Disculpen la molestia, de casualidad alguien aquí podría ayudarme con éste ejercicio de ecuaciones diferenciales parciales? :( Cualquier ayuda, cualquier punto de partida, lo que sea por favor! De verdad estoy muy trabada con éste ejercicio y por eso también estoy publicando aquí. Muchas gracias! Éste es el enunciado:
Se tiene una esfera de radio R, la cual, en determinado momento, se sumerge en un fluido. Se sabe que la esfera inicialmente se encuentra a una temperatura homogénea (T0). Suponiendo que el volumen del fluido es lo suficientemente grande para que este se mantenga a una temperatura constante (Tf), determine una expresion para la distribución de la temperatura de la esfera en función del radio r y el tiempo t.
También si me pudieran recomendar alguna bibliografía que me pueda ser útil para resolver el ejercicio, les estaré agradecida! :)

Me encantaría ayudarte, pero no respondo dudas universitarias que no tengan que ver específicamente con los videos que ya he grabado como excepcion. O de otras asignaturas que no sean matemáticas, física y química. Lo siento de corazón… Espero lo entiendas
Ojalá algun unicoo universitario se anime a ayudarte (de hecho lo ideal es que todos los universitarios intentarais ayudaros los unos a los otros)
Como puedo hallar el valor de "a" ? Siendo A(2,3) , B(a,-2) y C(5,0) vértices de un triangulo rectángulo recto en A??

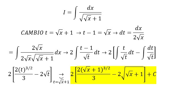
El mismo ejercicio, desde otro punto de vista.
Puedes plantear la sustitución (cambio de variable):
x = (w - 1)2, de donde tienes: dx = 2(w - 1)dw,
y también tienes: √(x) + 1 = w (1);
luego sustituyes y la integral queda:
I = ∫ 2(w - 1)dw / √( w - 1 + 1) = 2 ∫ ( (w - 1)/√(w) )dw = 2 ∫ ( √(w) - 1/√(w) )dw = 2 ∫ (w1/2 - w-1/2)dw, integramos y queda:
I = 2 ( (2/3)w3/2 - 2w1/2 ) + C = (4/3)w3/2 - 4w1/2 + C;
y solo queda que sustituyas la expresión señalada (1) y tendrás la expresión a la que arribó el colega Axel.
Espero haberte ayudado.
holas perdon la molestia otra vez :p ahora con este ejercicio no se como resolverlo luego de que me da ∫ Ln (u)/u

Otra forma. Plantea la sustitución (cambio de variable):
w = ln(t2 + 2), de donde tienes:
dw = 1/(t2 + 2) * 2t * dt, multiplicas por 1/2 en ambos miembros y queda:
(1/2)*dw = t/(t2 + 2) * dt.
Luego sustituyes y la integral queda:
I = ∫ w*(1/2)*dw = (1/2)*∫ w*dw = (1/2)*(w2/2) + C = (1/4)*w2 + C = (1/4)*( ln(t2 + 2) )2 + C.
Espero haberte ayudado.
Me ayudan a plantear !! El área del triangulo rectángulo que tiene sus dos catetos sobre el eje de coordenadas y el punto medio de la hipotenusa es M (3,2)
Los vértices del triángulo están sobre (0,0), (x,0) y (0,y)
sabemos que el punto medio entre (x,0) y (0,y) es (3,2) con lo que x=6 e y=4
Por lo tanto:
Los vértices del triángulo están sobre (0,0), (6,0) y (0,4)
con lo que la base mide 6 y la altura 4
por lo que su área será (6·4)/2 = 12 u2