Foro de preguntas y respuestas de Matemáticas

logo beUnicoos
Los foros de unicoos se han unificado en nuestra nueva plataforma beUnicoos. Para dejar nuevas preguntas deberás hacerlo allí, donde además podrás encontrar nuevas asignaturas y herramientas para ayudarte más con tus estudios.

  • icon

    Francisco Marin
    el 8/4/17

    Me ayudais a completar esta tabla?

    replythumb_up0 voto/sflag
    icon

    Ángel
    el 8/4/17


    thumb_up2 voto/sflag
  • icon

    ngb
    el 8/4/17

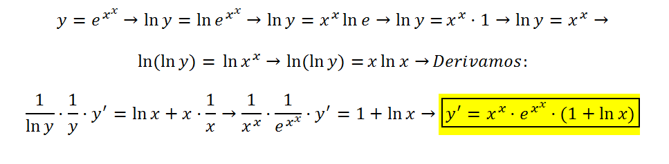
    Hola: no me sale esta derivada ¿me podéis ayudar?

    f(x)=e^x^x

    replythumb_up0 voto/sflag
    icon

    Ángel
    el 8/4/17

    Es:

    1.   (ex)x


    2.   (e)x^x


    ?

    thumb_up1 voto/sflag
    icon

    ngb
    el 8/4/17

    La segunda

    thumb_up0 voto/sflag
    icon

    Antonius Benedictus
    el 8/4/17


    thumb_up1 voto/sflag
  • icon

    Alejandro Expósito
    el 8/4/17

    aberigua que numero es la K

    (3x³  kx+12x-k)÷(x-2)

    Alguien me ayuda


    replythumb_up0 voto/sflag
    icon

    Antonius Benedictus
    el 8/4/17

    Foto del enunciado original, por favor.

    thumb_up1 voto/sflag
    icon

    Alejandro Expósito
    el 9/4/17

    ya lo he averiguado gracias de todas formas


    thumb_up0 voto/sflag
  • icon

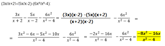
    Alejandro Expósito
    el 8/4/17

    Algun video que me explique este tipo de ejercicio

    (3x/x+2)-(5x/x-2)-(6x²/x²-4)

    replythumb_up0 voto/sflag
    icon

    Francisco Gutiérrez Mora
    el 8/4/17

    Te va, Alejandro. Un Saludo.

    thumb_up1 voto/sflag
    icon

    Alejandro Expósito
    el 8/4/17

    Me lo podrias explicar paso a paso porfavor?

    thumb_up0 voto/sflag
    icon

    Ángel
    el 8/4/17


    thumb_up2 voto/sflag
    icon

    Francisco Gutiérrez Mora
    el 8/4/17

    Perdona Alejandro, di por hecho que habías previsto lo de "Suma por diferencia igual a diferencia de cuadrados"

    Saludos.

    thumb_up2 voto/sflag
  • icon

    Francisco Marin
    el 8/4/17

    Calcula perimetro de un triangulo rectangulo sabiendo que su hipotenusa mide 25cm y uno de los catetos mide 10cm.

    me la podriais explicar. xfavor

    replythumb_up0 voto/sflag
    icon

    Francisco Gutiérrez Mora
    el 8/4/17

    Te lo envío, Francisco. Un Saludo.

    thumb_up2 voto/sflag
  • icon

    Luciano De Renzo
    el 8/4/17

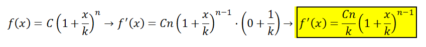
    Buenas!! Alguien me podria ayudar a resolver la siguiente derivada? Muchas gracias.



    replythumb_up0 voto/sflag
    icon

    Antonius Benedictus
    el 8/4/17


    thumb_up1 voto/sflag
  • icon

    Paula
    el 8/4/17

    Otra pregunta muy rápida,

    la integral de 1/√(1-x^2) es arcsenx.

    ¿Por qué la integral de -1/√(1-x^2) es arccosx, su inversa?

    ¿Por qué no está bien sacar el -1 multiplicando y que quede -arcsenx?

    ¡Gracias!


    replythumb_up0 voto/sflag
    icon

    Antonius Benedictus
    el 8/4/17


    thumb_up1 voto/sflag
  • icon

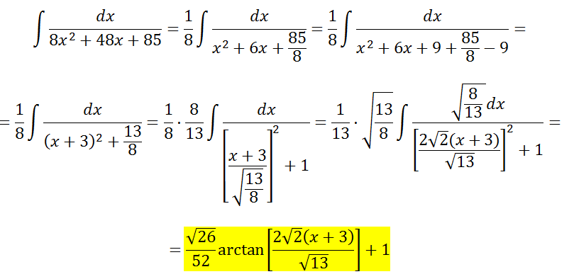
    Paula
    el 8/4/17

    Buenas tardes,

    mi duda es sobre esta integral de tipo arcotangente. He intentado hacer de otra forma la que hizo David en un vídeo, pero de esta manera no me sale igual. ¿Alguien sabe en qué paso me he equivocado? Probablemente será una idiotez, pero no caigo. 

    ¡Gracias!



    replythumb_up0 voto/sflag
    icon

    Antonius Benedictus
    el 8/4/17


    thumb_up1 voto/sflag
  • icon

    Sebastian
    el 8/4/17

    Tengo problema al hacer cero en la tercera por eses cuadro

    Por que en la primera con la segunda se va facilmente


    replythumb_up0 voto/sflag
    icon

    Antonius Benedictus
    el 8/4/17


    thumb_up1 voto/sflag
  • icon

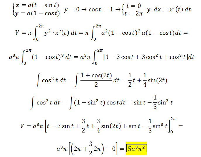
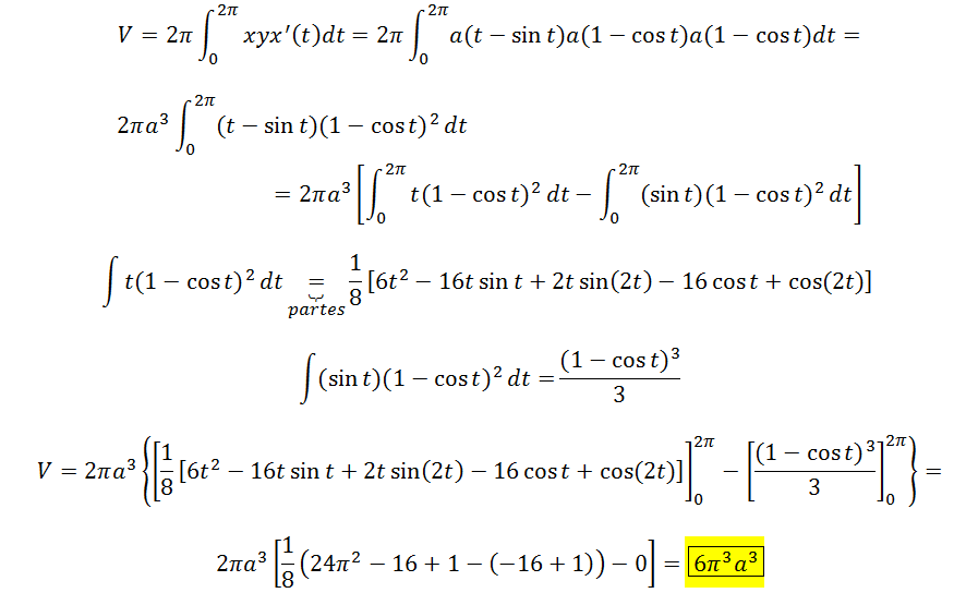
    José Emanuel
    el 8/4/17

    Buenos dias, alguien de buen corazón puede ayudarme con estos? Saludos y gracias

    replythumb_up0 voto/sflag
    icon

    Antonius Benedictus
    el 8/4/17


    thumb_up1 voto/sflag
    icon

    Antonius Benedictus
    el 8/4/17


    thumb_up1 voto/sflag