x es el valor de un field goal y y es el valor de un tiro libre. La mayor puntuación imposible de alcanzar es 119. ¿Qué es 3x + 2y?
x e y son enteros positivos, x <y, x + y deben ser minimizados.
Tengo la solución:
Des de que 119 = (3·1)+(58·2), todas las soluciones en pares enteros (x, y) de 3x+2y=119 son x=1+2t, y=58-3t (t ∈ ℤ).
Para 0<x<y, tenemos 0≤t≤11. Como que x+y=59-t se tiene que minimizar, escogemos t=11. Eso nos da el valor mínimo 48, y corresponde con x=23 e y=25.
Hola, me podéis ayudar con este ejercicio:
La producción mensual de una empresa, en miles de unidades, viene dada por Q(x,y)= 40x/(5+x) + 40/(10+y) siendo x, y los gastos de mano de obra y de materia prima en miles de euros. Los gastos fijos de la empresa son de 10000 euros/mes y el presupuesto de gastos totales está limitado a 25000 euros/mes. Hallar como se deben de distribuir los gastos para obtener una producción máxima.
Gracias
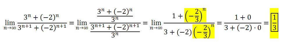
hola buenass, necesitaria una mano con este limite, no tengo claro este tipo de limites, a mi entender daria 0 pero parece que da 1/3![]()

hola Antonio, tengo una duda, en estos casos (potencias) donde el exponente del numerador es menor que el denominador , los limites se resuelve diferente , no? Porque cuando tenemos un limite de cociente de polinomios, donde el grado del denominador es mayor que el numerador el limite es cero.., esto no se cumple para las potencias verdad?