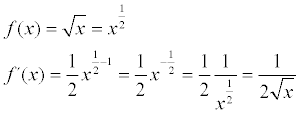
Hola sera que alguien me pueda orientar ,necesito ver vídeos de las siguientes temáticas
Función cuadrática para comprender mejor como sacar la
Intersección de los ejes y los vértices de la parabola
Matrices booleanas
Conjunto de solución de una ecuación
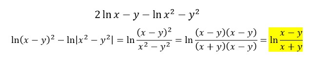
Logaritmos y determinar conjuntos
Muchas gracias por todo.
Hola mi consulta, en este ejercicio de variable aleatoria continua, se hacerlo pero no se como fijarle los limites de integración alguien puede ayudarme? please :c

Me encantaría ayudarte, pero no respondo dudas universitarias que no tengan que ver específicamente con los videos que ya he grabado como excepcion. O de otras asignaturas que no sean matemáticas, física y química. Lo siento de corazón… Espero lo entiendas
Ojalá algun unicoo universitario se anime a ayudarte (de hecho lo ideal es que todos los universitarios intentarais ayudaros los unos a los otros)
Hola, buenas
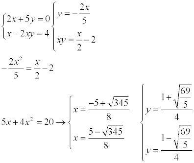
¿alguien me puede ayudar con este sistema de ecuación no lineal por favor?
2x+5y=0
x-2xy=4