Foro de preguntas y respuestas de Matemáticas

logo beUnicoos
Los foros de unicoos se han unificado en nuestra nueva plataforma beUnicoos. Para dejar nuevas preguntas deberás hacerlo allí, donde además podrás encontrar nuevas asignaturas y herramientas para ayudarte más con tus estudios.

  • icon

    Nuria
    el 4/4/17

    Hola, he intentado hacer este límite con el número e y me da 1. Pero no estoy segura de que esté bien, ¿me podéis poner los pasos?

    replythumb_up0 voto/sflag
    icon

    Antonius Benedictus
    el 4/4/17


    thumb_up1 voto/sflag
    icon

    Nuria
    el 4/4/17

    Muchas gracias Antonio

    thumb_up0 voto/sflag
  • icon

    Karen Segreti
    el 4/4/17

    Alguien me podría ayudar con este ejercicio por favor? 🙏🏽

    replythumb_up0 voto/sflag
    icon

    Antonius Benedictus
    el 4/4/17

    1ª parte:


    thumb_up1 voto/sflag
    icon

    Antonius Benedictus
    el 4/4/17


    thumb_up1 voto/sflag
    icon

    Antonius Benedictus
    el 4/4/17


    thumb_up1 voto/sflag
  • icon

    Maria
    el 4/4/17

    no entiendo porq mira si es derivable en 1 por la izquiera y 1 por la derecha y no en 0 y 2 que es el intervalo dado

    replythumb_up0 voto/sflag
    icon

    David
    el 17/4/17

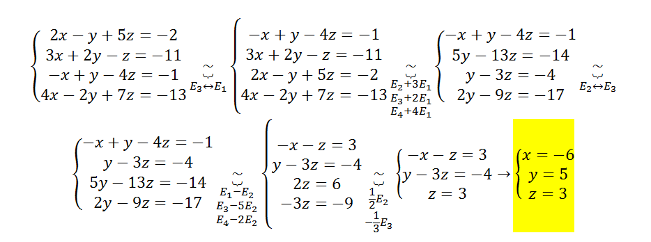
    Perfectamente planteado.. Y ahora, resuelve el sistema de ecuaciones...

    thumb_up0 voto/sflag
  • icon

    Pilar
    el 4/4/17

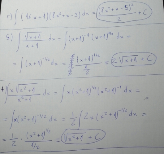
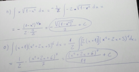
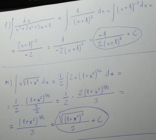
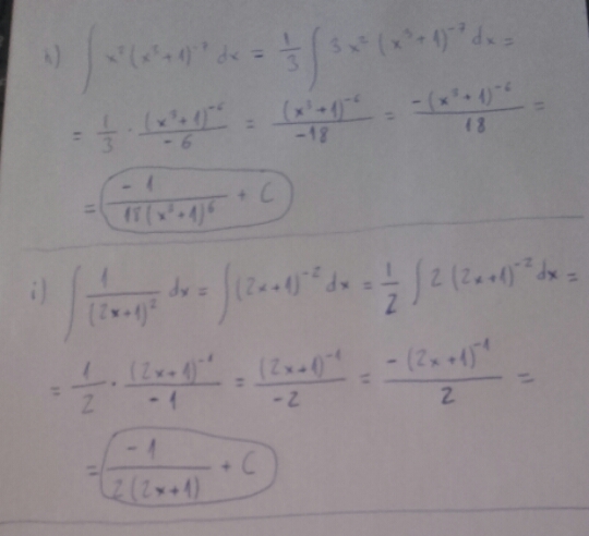
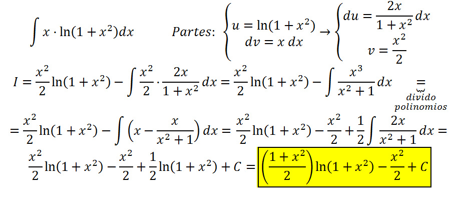
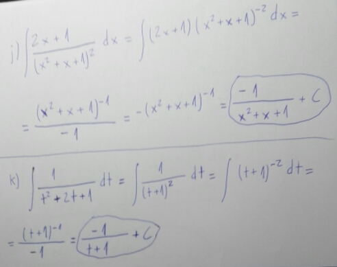
    Alguien por favor me podría ayudar con las integrales, no tengo ni idea de por donde cogerlas. Muchísimas gracias 


    replythumb_up0 voto/sflag
    icon

    Maria
    el 4/4/17


    thumb_up0 voto/sflag
    icon

    Antonius Benedictus
    el 4/4/17


    thumb_up0 voto/sflag
    icon

    Antonius Benedictus
    el 4/4/17

    Revisa la integral, María.

    thumb_up0 voto/sflag
    icon

    Antonius Benedictus
    el 4/4/17


    thumb_up0 voto/sflag
  • icon

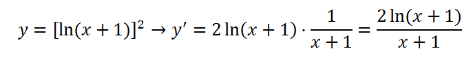
    Alvaro
    el 4/4/17

    alguien me podría ayudar a derivarlo por favor:

    [In (x+1)]2     


    replythumb_up0 voto/sflag
    icon

    Maria
    el 4/4/17


    thumb_up0 voto/sflag
    icon

    Antonius Benedictus
    el 4/4/17


    thumb_up0 voto/sflag
    icon

    Antonius Benedictus
    el 4/4/17

    María, por favor, antes de contestar, revisa bien los cálculos y (muy importante) el rigor matemático de su plasmación.

    thumb_up0 voto/sflag
  • icon

    Maria
    el 4/4/17

    alguien me puede resolver la e4 la a por favor

    replythumb_up0 voto/sflag
    icon

    Antonius Benedictus
    el 4/4/17

    icon

    Maria
    el 4/4/17

    Si me pueden resolver ese ejercicicio em concreto lo agradecería,es importante

    thumb_up0 voto/sflag
    icon

    Antonio
    el 6/4/17

    thumb_up0 voto/sflag
  • icon

    Nerea
    el 4/4/17

    Hola, ¿me podrían ayudar con esto?, es que las soluciones del denominador no me salen.

    replythumb_up0 voto/sflag
    icon

    Ángel
    el 4/4/17

    ¿A qué integral te refieres?¿Del alfabeto latino o el griego?

    thumb_up1 voto/sflag
    icon

    Nerea
    el 5/4/17

    A todas, menos las que están marcadas con un punto.

    thumb_up0 voto/sflag
    icon

    Ángel
    el 6/4/17

    Te las iré mandando poco a poco y me vas preguntando las dudas, que son muchas ;)

    Antes de nada tienes que tener en cuenta esta integral:   ∫ u´*un= [(un+1)/n+1] + C


    Ejercicio e)


    ∫ t*(t2+3)= 

    En la fórmula vemos que para aplicar la integral tenemos que tener multiplicando a la función su derivada ( la derivada es 2t, pero sólo tenemos t)...¿qué hacemos entonces? Nos "inventamos" un dos multiplicando a t, para tener la derivada 2t, pero tendremos que dividir por 2 fuera de la derivada, ya que dentro multiplicamos por dos...al multiplicar y dividir por el mismo número queda en la unidad: no se altera/modifica el resultado. Queda así:

    1/2*  2t*(t2+3)

    ya tenemos la integral de la forma  ∫ u´*un----------->  2t*(t2+3)

    así que aplicamos [(un+1)/n+1] + C


      2t*(t2+3)= (t2+3)1+1/(1+1)= (t2+3)2/2+C

    entonces:

    1/2*  2t*(t2+3)= 1/2*(t2+3)2/2= (t2+3)2/4 + C


    thumb_up0 voto/sflag
    icon

    Ángel
    el 9/4/17


    thumb_up0 voto/sflag
    icon

    Ángel
    el 11/4/17


    thumb_up0 voto/sflag
    icon

    Ángel
    el 11/4/17

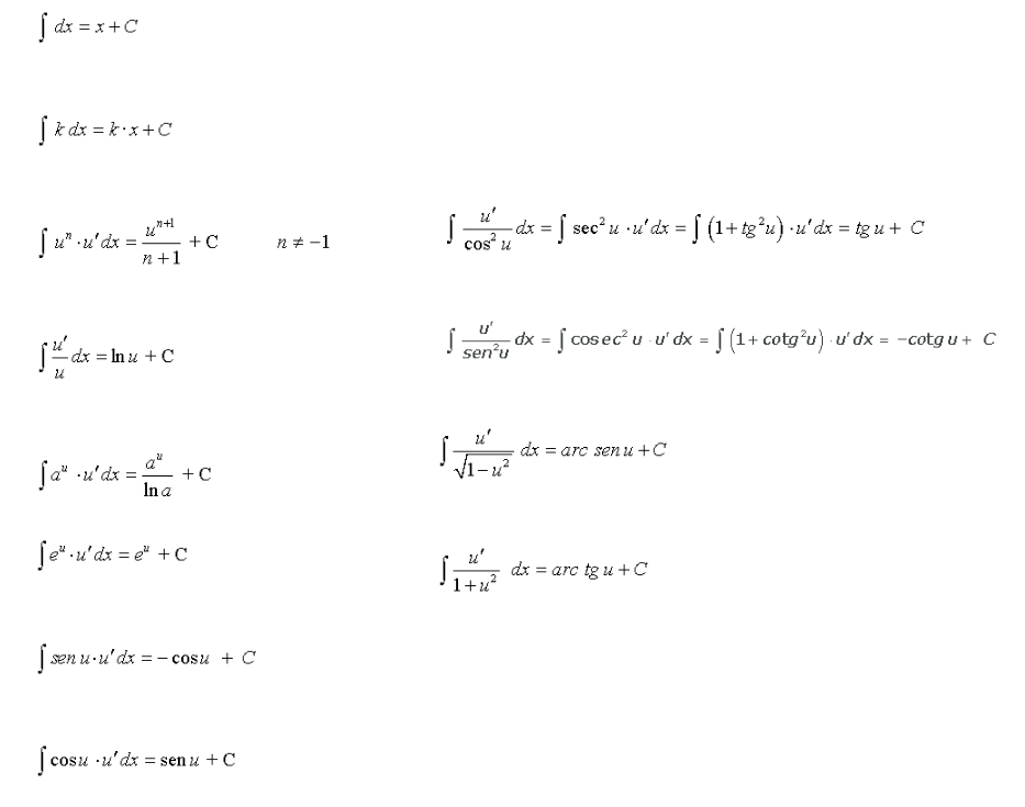
    Esta es la tabla de integrales más usadas, si vas teniendo dudas de los ejercicios me vas comentando



    thumb_up0 voto/sflag
    icon

    Ángel
    el 12/4/17





    thumb_up0 voto/sflag
    icon

    Ángel
    el 12/4/17


    thumb_up0 voto/sflag
    icon

    Ángel
    el 12/4/17

    thumb_up0 voto/sflag
    icon

    Ángel
    el 12/4/17


    thumb_up0 voto/sflag
    icon

    Ángel
    el 12/4/17

    thumb_up0 voto/sflag
    icon

    Ángel
    el 12/4/17

    thumb_up0 voto/sflag
    icon

    Ángel
    el 14/4/17


    thumb_up0 voto/sflag
    icon

    Ángel
    el 14/4/17


    thumb_up0 voto/sflag
    icon

    Ángel
    el 14/4/17

    ¿Estás haciendo 1º o 2º de bachillerato?

    ¿Tienes alguna duda hasta ahora?

    thumb_up0 voto/sflag
  • icon

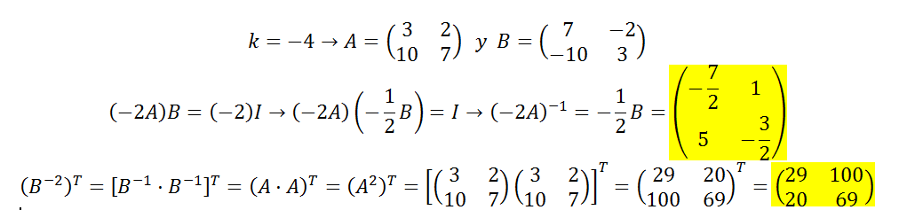
    andreu barceló
    el 4/4/17

    En los videos de numeros complejos, unicoos nombra a los números en forma polar, binómica y trigonométrica. Queria saber si los números en forma binómica y en forma trigonométrica són lo mismo. Gracias

    replythumb_up0 voto/sflag
    icon

    Ángel
    el 4/4/17


    thumb_up1 voto/sflag
    icon

    Ángel
    el 6/4/17

    Todo depende de lo que quieras calcular...

    thumb_up0 voto/sflag
  • icon

    Maria
    el 4/4/17

    ImportanteSe desea vallar un terreno rectangular usando 80 metros de una tela metálica pero dejando 

    una abertura de 20 metros sin vallar en uno de los lados para colocar después una puerta.

    Calcular las dimensiones de la parcela rectangular de área máxima que puede vallarse de esa

    manera y el valor de dicha área.(es del modelo 0 de la ebau)

    replythumb_up0 voto/sflag
    icon

    Antonio
    el 4/4/17

    Una puerta de 20 metros, será de dos!!!!!!

    thumb_up0 voto/sflag
    icon

    Maria
    el 4/4/17


    thumb_up0 voto/sflag
    icon

    Antonio
    el 4/4/17

    Qué pasada de puerta,

    Un lado sería x y el otro y

    El perímetro sería x + (x-20) + y + y = 80

    Y el área sería:

    A = x·y

    Despejando y de la primera ecuación y sustituyendo en la segunda:

    A = x·(50-x)

    A=50x-x2

    El área hay que maximizarla, por ello derivaremos e igualaremos a cero

    A'=50-2x

    50-2x=0   =>x=25

    Comprobamos que efectivamente es un máximo:

    A''=-2

    A''(25)=-2<0 => Máximo

    Calculamos y

    y=50-x=25

    Por lo tanto:

    Cada lado debe medir 25 metros

    Y por último:

    A=x·y = 25 ·25 = 625

    El área será de 625 m2


    thumb_up0 voto/sflag
    icon

    Ángel
    el 4/4/17

    **Con una puerta de 2 metros

    Función: f(x,y)=x*y

    Condición: x+x+y+(y-2)=80  ---->  2x+2y=82------>  y=(82-2x)/2


    f(x)= x*(82-2x)/2= x*(41-x)= -x2+41x


    Derivamos f(x):

    f´(x)= -2x+41

    igualamos a cero:

    -2x+41=0

    x=20.5 metros


    Comprobemos que es un máximo:

    f´´(x)= -2<0

    Por lo tanto, x=20.5m es un máximo


    Sólo queda sustituir x=20.5 en la ecuación inicial x+x+y+(y-2)=80

    20.5+20.5+y+(y-2)=80

    2y=41

    y=20.5metros


    Por lo tanto tendremos tres vallas de la misma longitud (3*20.5metros) y la 4ª valla (y-2) con 18.5 metros de alambrada y un hueco de 2 metros para la puerta


    thumb_up0 voto/sflag
    icon

    Maria
    el 4/4/17

    Entonces no es un terreno rectangular es un cuadrado no?

    thumb_up0 voto/sflag
    icon

    Ángel
    el 4/4/17

    No tiene los 4 lados iguales...sólo tres (el otro mide 18.5m)

    ¡Quizá es una puerta para que pasen tanques! :D


    thumb_up0 voto/sflag
    icon

    Ángel
    el 4/4/17

    A lo que me refiero es que sí que es un terreno rectangular el cercado (una vez pongan la puerta), pero el perímetro que abarca la cerca (los 80metros) no es un cuadrado en cuanto a la definición...porque no tiene los 4 lados iguales!

    thumb_up0 voto/sflag
    icon

    Antonio
    el 4/4/17

    El rectángulo con más area es el cuadrado!!!!!

    thumb_up0 voto/sflag
  • icon

    Alejandro
    el 4/4/17

    Alguien puede poner algún ejercicio de funciones afines? por fa

    replythumb_up0 voto/sflag