me podrían ayudar por favor ?
- Hallar la ecuación del plano que pasa por los puntos M1 ( -1, 4, -1), M2 ( -13, 2, -10) y que intercepta a los ejes de abscisas de cotas en segmentos de igual longitud y diferentes de cero.
- Determinar para que valores de a y b los planos 2x-y+3z-1=0, x+2y-z+b=0 y x+ay-6z+10=0, se cortan en tres rectas paralelas distintas.
muchísimas gracias .
El segundo:
Debes obligar a que la matriz de coeficientes tenga rango 2, es decir su determinante debe ser nulo.
Además debes obligar a que la matriz de coeficientes ampliada tenga rango 3.
Por último, no pueden ser paralelos dos a dos.
Con todo esto tendrías que:
La solución sería a=7 y cualquier valor de b
¿Que presión de aire en el interior de un cilindro de 70mm de diámetro ejerce una fuerza se 680n sobre el émbolo del mismo?
Como se calcula?
Gracias:
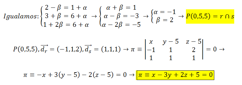
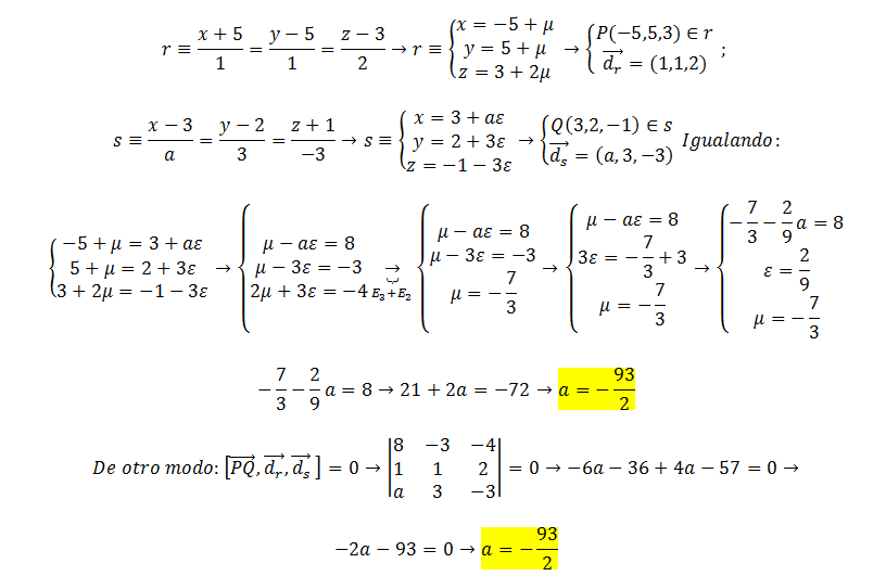
Y yo he hecho lo siguiente, ya que como me dice que se cruzan o que cortan, pues ya intuyes que es perpendicular, pero mi profesor hizo otra cosa, porque no puedo hacer lo qu eh ehecho yo y tengo que hacer determinantes y encontrar rangos? Si pudierais hacermelo paso a paso lo agradecería
mucho! gracias!!!!
hola chicos alguien que me ayude con este ejercicio, sé que es algo complicado pero os agradecería muchisimo si me ayudais :) muchas gracias chicos :)
ejercicio : calcula el volumen del cuerpo limitado por el cilindro y2 +x2 -9 = 0 y los paraboloidez z = y2 + x2 + 8 y z = - y2 - x2

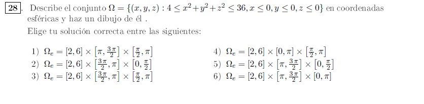
Observa que la región de R3 en la que se encuentran los puntos del conjunto Ω en coordenadas cartesianas está determinada: x ≤ 0, y ≤ 0, z ≤ 0.
Luego, para las coordenadas esféricas con eje z, tienes:
z ≤ 0 corresponde a π/2 ≤ φ ≤ π,
x ≤ 0 e y ≤ 0: corresponde al tercer cuadrante del plano OXY (z = 0): corresponde: π ≤ θ ≤ 3π/2,
y observa que la representación gráfica correspondiente a la doble inecuación:
4 ≤ x2 + y2 + z2 ≤ 36 corresponde a una esfera hueca maciza de radio interno 2, radio externo 6, con centro en el origen de coordenadas; corresponde: 2 ≤ ρ ≤ 6.
Luego, el conjunto de puntos Ω, formado por los puntos con abscisa x ≤ 0, ordenada y ≤ 0 y cota z ≤ 0, y que pertenecen a la esfera hueca maciza, queda descrito:
Ω = { (ρ,φ,θ) ∈ R3: 2 ≤ ρ ≤ 6, π/2 ≤ φ ≤ π, π ≤ θ ≤ 3π/2 },
que en notación de doble producto cartesiano queda:
Ω = [2,6]x[π/2,π]x[π,3π/2], que corresponde a la opción 1.
Espero haberte ayudado.