Buenas tardes, me podrían resolver estos ejercicios de funciones:
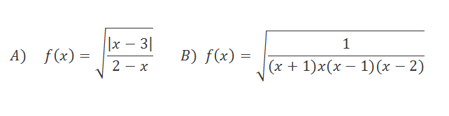
- Hallar la función de dominio (-∞ , 2) ∪ (3)
- Función escrita de dominio ( -∞, -1) ∪ (0,1) ∪(2, + ∞)
Muchas gracias
Hola.
He hecho un ejercicio y no sé si lo tengo bien resuelto, me gustaría que se me corrigiera el ejercicio.
A partir de la recta y= -3x+4 pasarla a forma paramétrica.
Lo que hecho ha sido calcular el vector director de la forma general de la recta, d(-1,3) y dar valores.
La solución me ha dado: r---->x= -1λ
y= 4+3λ
¿Está correcto?
Un molinero tiene 20 kg de gofio para repartir entre sus 20 vecinos y decide hacerlo de esta forma:
-A cada niño le dará 3 kg de gofio
-A cada mujer le dará 2kg de gofio
-A cada hombre 0.5 kg de gofio
Sabiendo que al menos hay un niño , una mujer y un hombre, y que repartió todo el gofio sin que sobrara ni faltara nada, ¿Cuántos niños, mujeres y hombres hay?
Calcular el area encerrada entre las curvas y el eje de abscisas,en los intervalos:
a) f(x)=sen x en (0;2π) , CUANDO TENGO QUE HACER BARROW EL PISO(EJE DE ABSISAS) COM0 SE PONE? COMO "0"?

a) Observa que la gráfica de la función seno (cuya ecuación es y = senx) se encuentra sobre el eje de abscisas OX (cuya ecuación es y = 0) en el intervalo (0,π) y por debajo en el intervalo (π,2π), por lo que planteamos para el área:
A = A1 + A2,
y para cada intervalo tenemos:
A1 = ∫ (senx - 0)*dx = [- cosx] = evaluamos entre 0 y π = - cosπ - (- cos0) = - (- 1) - (-1) = 1 + 1 = 2,
A2 = ∫ (0 - senx)*dx = [cosx] = evaluamos entre π y 2π = cos(2π) - cosπ = 1 - (-1) = 1 + 1 = 2;
luego, reemplazamos en la ecuación del área total y queda:
A = A1 + A2 = 2 + 2 = 4.
Espero haberte ayudado.
Cual es la pendiente de la recta tangente a la curva y=3 sen x en el punto (π/3; 3sen(π/3)) ?

Recuerda la definición de derivada de una función en un punto de su gráfica: es igual a la pendiente de la recta tangente a la gráfica en dicho punto.
Luego, plantea la expresión de la función derivada:
y ' = 3* cosx,
luego la evalúas para el punto, tienes la pendiente de la recta tangente en dicho punto:
mT = f ' (π/3) = 3*cos(π/3) = 3*(1/2) = 3/2.
Espero haberte ayudado.
Hola, ¿me podríais ayudar con este ejercicio? Tengo que hacerlo para mañana y no encuentro a nadie que sepa explicármelo.