Buenos días.Tengo que acotar el error que se produce en los nodos -1,0,1. El problema que tengo es el sacar la función y la constante que no consigo pasar de ahí. ¿Alguien me puede ayudar a calcularlo?

Me encantaría ayudarte, pero no respondo dudas universitarias que no tengan que ver específicamente con los videos que ya he grabado como excepcion. O de otras asignaturas que no sean matemáticas, física y química. Lo siento de corazón… Espero lo entiendas
Ojalá algun unicoo universitario se anime a ayudarte (de hecho lo ideal es que todos los universitarios intentarais ayudaros los unos a los otros)
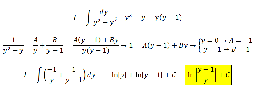
Hola, alguien me podría decir como se resuelve esta integral?
∫(dy)/(y^2 - y)
donde lo que se debe integrar está compuesto por:
denominador: dy
numerador: y^2 - y (la primera y esta elevada solamente al cuadrado y no a la 2-y para aclarar)
trato de ser lo más conciso en modo texto porque las imágenes me tardan años luz en cargarlas para enviar
Saludos y gracias!
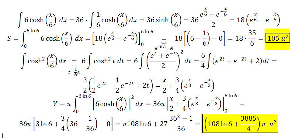
Cálculo Integral , universidad,funciones logaritmicas, exponenciales, trigonometricas inversas ,hiperbólicas e hiperbólicas inversas.
1)calcule el área de la region limitada por y=6 cosh(x/6) x=0 y=0 y x =6ln6
2) calcule el volumen del solido de revolucion de la region mencionada en el problema anterior si se gira en el eje x
Porfavor necesito ayuda tengo examen el viernes de esto .Gracias.
Geometría del Espacio, Planos y Rectas
- Determina la ecuación simétrica de la recta contenida en el plano 2x+3y-z= -0,5 de modo que todos sus puntos equidisten de los puntos A (2, -1, 2) y B (1, -3,-7).
Hola,como se resuelve esto paso a paso?
Dos fuerzas de 17kg y 22kg actuan sobre un cuerpo.Si sus direcciones forman un angulo de 50°,hallar la intensidad de la resultante y el angulo que forma con la mayor de las fuerzas.
Hola,como se resuelve esto?
Un tractor asciende una cuesta que tiene una inclinacion de 22°.Si sube a 60km/h,¿Cuantos metros varia su altura sobre el nivel del mar en 15 minutos?

En 15 minutos (15/60 horas) recorre un espacio de 60 km/h. (15/60 h) = 15 km... Recuerda que espacio = velocidad x tiempo...
A partir de ahí, tienes la hipotenusa y te piden la altura.
sen22= h/ 15...
Te sugiero.. Trigonometria - Resolucion de un triangulo rectangulo