Buenas noches amigos. Espero y me puedan ayudar con las siguientes integrales:
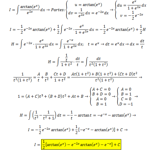
1) ∫ Arctg (ex).dx / e2x (La integral de arcontangente de euler elevado a x dividido entre euler elevado a 2x)
2) ∫ X. Arctg2(x).dx (La integral de X. Que multiplica a la arcotangente cuadrada de x.
Hola,como se resuelve esto paso a paso? Un triangulo rectángulo tiene un angulo de ∏/3 radianes.¿Cuanto miden los demás ángulos?
Hola milena,
Un triangulo rectangulo, por definicion tiene un angulo de π/2 radianes (90 grados)
Si ademas te dicen que tiene un angulo de π/3 (60 grados), considerando que la suma de los angulos interiores de un triangulo suman π radianes, entonces el angulo faltante medira π - ( π/2 + π/3)= π - (4/6)* π = π*(2/6) = π*1/3.
Recuerda que 2π rad ⇔ 360 grados, y para sacar la conversion de otros angulos basta con hacer una regla tres simple
Hola,el enunciado dice :Escribir la ecuacion de una recta paralela a 3y+2x-1=0.........como seria la ecuacion? yo puse que era -2/3x +2 ya que al ser paralelas tienen igual pendiente pero eso seria funcion no ecuacion!
Hola,
Para hacer mas evidente la respuesta, te recomiendo primero pasar la ecuacion de la recta a su forma principal, osea:
3y+2x-1=0 ↔ y= (1/3)*(-2x+1)
↔y=(-2/3)*x + 1/3
Por definicion, dos rectas L1 y L2 son paralelas si y solo si, (L1 = L2) ∨ (L1 ∩ L2 = ∅), de lo cual se puede despreder que las respectivas pendientes de las rectas deben ser iguales,
Entonces las rectas paralelas a dicha recta serian todas aquellas de la forma
y =(-2/3)*x + α // α∈ℛ
Hola alguien me podría ayudar en este ejercicio y explicármelo ,estoy viendo que este tiene un raya de complemento,no comprendo bien.
Gracias de antemano.
Buenas noches UNICOOS tengo una duda, mi duda es saber ¿cual es la formula que se utiliza para saber la coordenada del punto 2? Esta es la pregunta:
Si el eje y es la mediatriz del segmento que une P1 (5,3) con P2 ¿cual es la coordenada del P2?

Si el eje coordenado OY es mediatriz del segmento, entonces el segmento es perpendicular a dicho eje y, por lo tanto es paralelo al eje OX.
Luego, las ordenadas del punto P1, del punto medio M y del punto P2 cinciden, por lo que tienes:
P1(5,3) es dato,
M(0,3) es el punto medio que pertenece al eje OY,
luego, el otro extremo del segmento es el punto de coordenadas: P2(-5,3).
Haz un grafico para visualizar mejor la situacion.
Recuerda que las coordenadas del punto medio son iguales a los promediosvde las cootdenadas de los extremos.
Espero haberte ayudado.