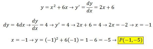
Una pregunta, en una funcion cuadratica la cual tiene un valor absoluto y la tengo que representar como una función a trozos, si me quedan digamos que tres funciones diferentes, en todas las tablas de valores tengo que poner el vertice (-b/2a)?. Como se en cual de ellas ponerlo? Gracias de antemano.

Debes hacer precisiones.
Tienes la inecuación:
(-2)*|2 + 5x| + 25 ≤ 15, hiciste el pasaje de término correctamente y quedó:
(-2)*|2 + 5x| ≤ - 10,
has hecho el pasaje de factor como divisor, pero observa que es negativo y cambia la desigualdad, por lo que queda:
|2 + 5x| ≥ 5,
luego, despliega el valor absoluto (observa que tienes dos opciones):
a)
2 + 5x ≥ 5, haces pasaje de término y queda:
5x ≥ 3, haces pasaje de factor como divisor (observa que no cambia la desigualdad) y queda:
x ≥ 3/5, que conduce al subintervalo: Sa = [3/5,+∞);
b)
2 + 5x ≤ - 5, haces pasaje de término y queda:
5x ≤ - 7, haces pasaje de factor como divisor (observa que no cambia la desigualdad) y queda:
x ≤ - 7/5, que conduce al subintervalo: Sb = (-∞,-7/5].
Luego, concluimos que el intervalo solución es:
S = Sa ∪ Sb = (-∞,-7/5] ∪ [3/5,+∞).
Espero haberte ayudado.