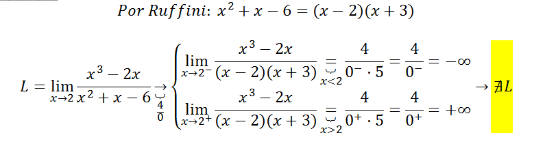
Me podéis ayudar?. Gracias
Calcula el área de un hexágono regular cuyo lado mide 12 cm.

El área de los polígonos regulares es L·Ap (Lado por apotema)
La apotema es el segmento de la mediatriz de cualquiera de sus lados que comprende desde el centro del polígono hasta la mitad del lado.
Está fórmula se usa para polígonos a partir del pentágono; pues para el triángulo y el cuadrado son otras.
hola quisiera saber si hice bien este ejercicio:
(-2)* Ι 2+5x Ι + 25 ≤ 15 -5≤ Ι2+5xΙ ≤ 5 Ι2+5xΙ ≤ 5
(-2)* Ι2+5xΙ ≤ 15-25 -5≤2+5x 5x≤ 3
Ι2+5xΙ ≤ -10 * - ½ -5-2 ≤ 5x x ≤ 3* 1/5
Ι2+5xΙ ≤ 5 -7 * 1/5 ≤ x x ≤ 3/5
-7/5 ≤ x
y en la tabla real la solucion es interseccion (-7/5; 3/5)
Gracias.Buenas! Alguien me puede ayudar a demostrar que el número pi es irracional. Gracias
tengo un problema con un ejercicio, porque estoy estudiando para un examen final de matemáticas:
Desde un punto de suelo se ve la parte superior de una torre formando un ángulo de 30º con la horizontal.
Si nos acercamos 75m hacia la base de la torre, el ángulo es de 60º. Halla la altura de la base.
hola tengo una duda de mcm y mcd de los resultados
10 90 y 100
mcm =900
mcd= 10 pero ya cheque en internet y me lo marco como error ya que la R correcta es 2
si el mcd debe de ser mayor y no necesariamente debe ser primo porque me lo marco como mal acaso es diferente cuando se hacen juntos?