Hola, de nuevo! Me he visto varios videos de nuestro querido profe, alias "el cachas", (y ya llevo unos cuantos...) sobre las integrales impropias de primera y de segunda especie con la esperanza de entender algo sobre la función gamma Γ (que aparece mencionada en la biografía de Euler que me estoy leyendo).
El
caso es que, aunque los videos son estupendos para aprender lo que son
y cómo se manejan las integrales impropias, no consigo entender que es
la función gamma y de qué manera equivale a factorializar números
complejos. Sólo puedo llegar a entender la demostración de por qué Γ (z + 1) = zΓ
(z), aunque lo tengo que comprobar aún. Lo que ya no entiendo son las
propiedades y qué tiene que ver todo esto con la factorialización. Sobre
la función beta ya ni hablamos...
¿Me podrías dar alguna pauta? Muchas gracias.

Me encantaría ayudarte, pero no respondo dudas universitarias que no tengan que ver específicamente con los videos que ya he grabado como excepcion. O de otras asignaturas que no sean matemáticas, física y química. Lo siento de corazón… Espero lo entiendas
Ojalá algun unicoo universitario se anime a ayudarte (de hecho lo ideal es que todos los universitarios intentarais ayudaros los unos a los otros)
hola me piden esto g(X)=20000+250x son gastos anuales por fabricar ordenadores
I(x)=600x-0.1x2ingresos anuales
cuantos ordenadores tengo qur fabricar para obtener beneficios
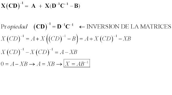
Tengo la siguiente ecuación matricial: X(CD)-1 = A + X(D-1C-1− B)
He llegado a deducir lo siguiente X(CD)-1 - X(DC)-1= A - XB
Sin embargo, me quedo en este paso, porque supongo que "X(CD)-1 - X(DC)-1" no se puede anular por la propiedad de que la multiplicación de matrices no es conmutativa. En el solucionario me indica que XB=A . Creo que hay una propiedad de matrices que desconozco, ¿me podríais indicar cuál es? Muchas gracias por vuestra ayuda
Hola, buenas tardes. Me podrian ayudar en este ejercicio por favor. No me sale bien el resultado.
Expresa estos polinomios de grado 2 como producto de factores, si es posible. a) R(x)= 2x^2 + 2x + 1 b) S(x)= -2x^2 + 3x + 5
Gracias.