
8)
Observa que el dominio de la función es: D = R, y que x = -1 es un punto notable, porque está definido en forma particular y porque es el punto de corte entre trozos de la expresión de la función. Luego estudiaremos la continuidad de la función en su dominio:
a) f es continua en (-∞,-1) (observa que la expresión del primer trozo es polinómica);
b) f es continua en (-1,+∞) (observa que la expresión del segundo trozo es polinómica);
c) planteamos la definición de continuidad para x = -1:
1°) f(-1) = c - 2 (1);
2°) planteamos los límites laterales:
Lím(x→-1-) f(x) = Lím(x→-1-) (kx2 + 2) = k + 2,
Lím(x→-1+) f(x) = Lím(x→-1+) (x - 10) = - 11,
luego, como el límite debe existir, planteamos:
k + 2 = - 11, de donde despejamos: k = - 13, y el límite de la función queda:
Lím(x→-1) f(x) = - 11 (2);
3°) como el valor de la función debe coincidir con el límite de la función, planteamos la igualdad entre la expresión señalada (1) y el valor señalado (2):
c - 2 = - 11, de donde despejamos: c = - 9.
9)
a) Te dejo para que hagas el gráfico, observa que son dos tramos de parábolas, que presenta un salto en x = -2;
b) como x = -2 es el punto de corte entre trozos, planteamos la definición de continuidad (observa que el dominio de la función es: D = R):
1°) f(-2) = 1 - 4(- 2) - (- 2)2 = 1 + 8 - 4 = 5 (1);
2°) planteamos los límites laterales:
Lím(x→-2-) f(x) = Lím(x→-2-) (x2 + 4x + 2) = (- 2)2 + 4(- 2) + 2 = 4 - 8 + 2 = - 2,
Lím(x→-2+) f(x) = Lím(x→-2+) (1 - 4x - x2) = 1 + 8 - 4 = 5,
luego, como los límites laterales existen pero no coinciden, tenemos que la función presenta discontinuidad esencial (o inevitable) tipo salto en x = - 2.
c) planteamos los límites laterales (observa que tenemos el valor señalado (1), que es el valor de la función para x = - 2):
Lím(h→0-) ( f(-2+h) - f(-2) )/h = Lím(h→0-) ( (-2+h)2 + 4(-2+h) + 2 - 5 )/h = desarrollamos el numerador:
= Lím(h→0-) (4 - 4h + h2 - 8 + 4h + 2 - 5)/h = Lím(h→0-) (h2 - 7)/h = +∞ (observa que l numerador tiende a - 7 y que el denominador es negativo);
Lím(h→0+) ( f(-2+h) - f(-2) )/h = Lím(h→0+) ( 1 - 4(-2+h) - (-2+h)2 - 5)/h = desarrollamos el numerador:
= Lím(h→0+) (1 + 8 - 4h - 4 + 4h - h2 - 5)/h = Lím(h→0+) (- h2 )/h = Lím(h→0+) (- h) = 0,
luego, como los límites laterales no coinciden tenemos: Lím(h→0) f(x) no existe.
Espero haberte ayudado.

Comienzas bien, pero debes corregir.
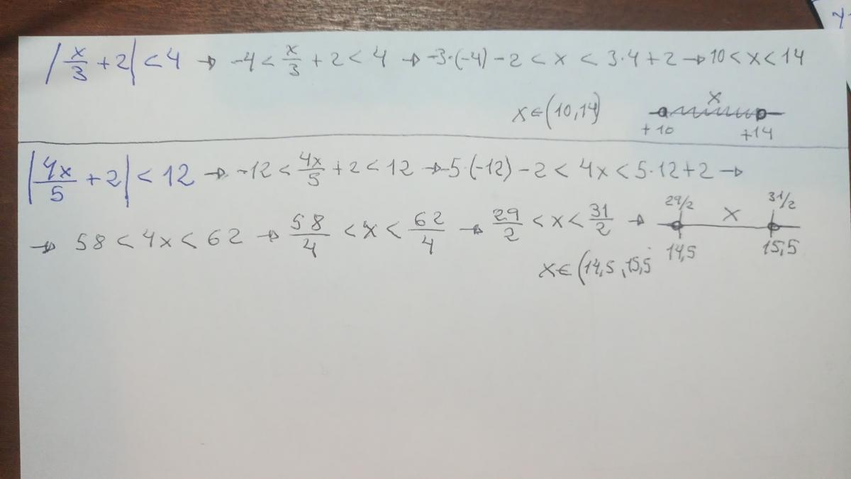
1)
|x/3 + 2| < 4, despliegas la inecuación con valor absoluto correctamente:
- 4 < x/3 + 2 < 4, multiplicas por 3 en todos los términos de la doble inecuación (observa que no cambian las desigualdades porque 3 es positivo):
- 12 < x + 6 < 12, restas 6 en los tres miembros de la doble inecuación (observa que tienes cancelación de términos en el miembro del centro):
- 18 < x < 6, luego puedes concluir:
x ∈ (-18,6).
2)
|4x/5 + 2| < 12, despliegas la inecuación con valor absoluto correctamente:
- 12 < 4x/5 + 2 < 12, multiplicas por 5 en todos los términos de la doble inecuación (observa que no cambian las desigualdades porque 5 es positivo):
- 60 < 4x + 10 < 60, restas 10 en los tres miembros de la doble inecuación (observa que tienes cancelación de términos en el miembro del centro):
- 70 < 4x < 50, divides por 4 en los tres miembros de la doble inecuación (observa que no cambian las desigualdades porque 4 es positivo):
- 35/2 < x < 25/2, luego puedes concluir:
x ∈ (-35/2,25/2).
Espero haberte ayudado.

Tienes la inecuación (observa que x debe ser distinto de 4):
x(x2 + 3) / (-6)(4 - x) ≤ 0, multiplicas por - 6 en ambos miembros de la inecuación (observa que cambia la desigualdad porque - 6 es negativo):
x(x2 + 3) / (4 - x) ≥ 0,
observa que el segundo factor del numerador es estrictamente positivo, por lo que hacemos pasaje de factor como divisor (observa que no cambia la desigualdad):
x / (4 - x) ≥ 0,
luego, para que la expresión sea positiva tenemos dos opciones:
1)
x ≥ 0 y 4 - x > 0, hacemos pasaje de término en la segunda inecuación y queda:
x ≥ 0 y - x > - 4, multiplicamos por -1 en ambos miembros de la segunda inecuación (observa que cambia la desigualdad porque -1 es negativo):
x ≥ 0 y x < 4, de donde tenemos: x ∈ [0,4);
2)
x ≤ 0 y 4 - x < 0, hacemos pasaje de término en la segunda inecuación y queda:
x ≤ 0 y - x < - 4, multiplicamos por -1 en ambos miembros de la segunda inecuación (observa que cambia la desigualdad porque -1 es negativo):
x ≤ 0 y x > 4, que conduce al intervalo vacío (observa que las dos inecuaciones son incompatibles);
luego concluimos: x ∈ [0,4) ∪ Φ = [0,4).
Espero haberte ayudado.