Foro de preguntas y respuestas de Matemáticas

logo beUnicoos
Los foros de unicoos se han unificado en nuestra nueva plataforma beUnicoos. Para dejar nuevas preguntas deberás hacerlo allí, donde además podrás encontrar nuevas asignaturas y herramientas para ayudarte más con tus estudios.

  • icon

    Óscar Sáez
    el 5/3/17

    Hola, llevo mucho tiempo intentando hacer este problema de funciones y no se hacerle

    Agradezco vuestra ayuda ya que temgo mañana examen.

    El problema es el siguiente:

          Un coche tiene que realizar un trayecto de 900 km. Sale del lugar de origen con el depósito lleno, 44 l. Cuando lleva recorridas dos terceras partes, observa que le queda por consumir la cuarta parte del depósito y decide repostar, echando 19 l. Nuevamente, a 100 km del final, con la mitad del depósito sin consumir, vuelve a repostar para tener el depósito lleno. Continúa su trayecto hasta el final, quedándole 3/4 partes de gasolina sin consumir. Representa la gráfica  distancia-gasolina consumida.


    Gracias :)

    replythumb_up0 voto/sflag
    icon

    Antonius Benedictus
    el 5/3/17



    thumb_up1 voto/sflag
    icon

    Óscar Sáez
    el 5/3/17

    Muchas gracias!!!

    Pero... si x es la variable independiente e y la variable dependiente? entonces x seria la gasolina consumida e y serian los kilometros o la distancia.

    Igual estoy yo confundido.

    Muchas gracias otra vez :) !!!


    thumb_up0 voto/sflag
  • icon

    Estefany Barrera
    el 5/3/17

    Me ayudan con estas ecuaciones es sobre matrices, he tratado de resolverla y no he podido.. se los agradeceria

    4x-2y+z=5

    3x+y-4z=0


    replythumb_up0 voto/sflag
    icon

    Claudia
    el 5/3/17

    ¿Puedes poner el enunciado entero?

    thumb_up0 voto/sflag
    icon

    Antonius Benedictus
    el 5/3/17


    thumb_up0 voto/sflag
    icon

    Estefany Barrera
    el 5/3/17

    Claudia pues solo me dice: Resolver el sistema de ecuacioens usando Gauss o Crammer pero con Crammer no se puede reolver

    thumb_up0 voto/sflag
    icon

    Antonius Benedictus
    el 6/3/17

    Corrección "lapsus clavis":


    thumb_up0 voto/sflag
  • icon

    Gianluca
    el 5/3/17

    me podeis ayudar con el apartado b) y d) porfa

    replythumb_up0 voto/sflag
    icon

    Antonius Benedictus
    el 5/3/17


    thumb_up1 voto/sflag
    icon

    Gianluca
    el 5/3/17

    Gracias :D

    thumb_up0 voto/sflag
  • icon

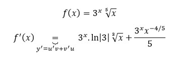
    Eric Donate Delgado
    el 5/3/17

    Hola a todos,

    Soy nuevo por la web pero llevo tiempo viendo los vídeos y me han ayudado mucho! Pero tengo una duda con estos ejercicios de derivadas: no se como se simplificaria la operación. Gracias.


    replythumb_up0 voto/sflag

    Usuario eliminado
    el 5/3/17


    thumb_up1 voto/sflag
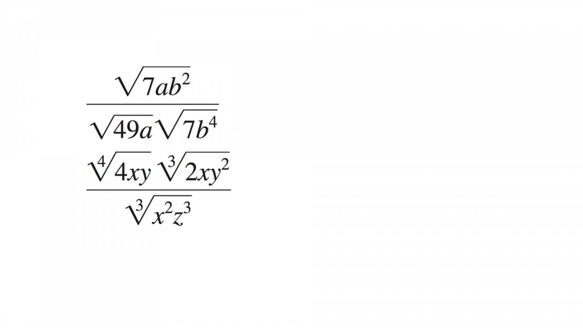
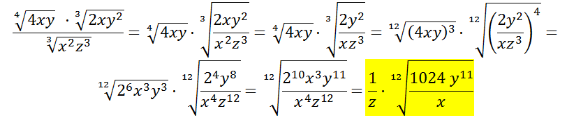
  • icon

    Pedro
    el 5/3/17

    Ayuda con este ejercicio. Gracias de antemano.


    replythumb_up0 voto/sflag
    icon

    Antonius Benedictus
    el 5/3/17


    thumb_up0 voto/sflag
    icon

    Antonius Benedictus
    el 5/3/17


    thumb_up0 voto/sflag
    icon

    Pedro
    el 5/3/17

    Muchas gracias Antonio. Tu ayuda se agradece enormemente. Un cordial saludo.

    thumb_up0 voto/sflag
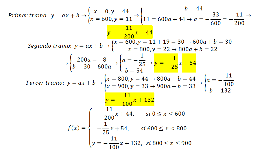
  • icon

    Verónica
    el 5/3/17

    Buenas tardes, me podrían ayudar a resolverlo paso a paso:

    [17-[30-(10+12)] x [(-5)+(8-13)]

    Gracias de antemano.

    replythumb_up0 voto/sflag
    icon

    Guillem De La Calle Vicente
    el 5/3/17


    thumb_up1 voto/sflag
    icon

    Verónica
    el 6/3/17

    Muchas gracias por su ayuda:)

    thumb_up0 voto/sflag
  • icon

    inma
    el 5/3/17

    no me sale la solucion alguien me puede ayudar es facil pero no se donde me confundo gracias

    replythumb_up0 voto/sflag
    icon

    Guillem De La Calle Vicente
    el 5/3/17


    thumb_up0 voto/sflag
  • icon

    Teresa
    el 5/3/17

    ¿Alguien sabe cómo resolver este problema?


    replythumb_up0 voto/sflag
    icon

    Antonius Benedictus
    el 5/3/17


    thumb_up0 voto/sflag
    icon

    Guillem De La Calle Vicente
    el 5/3/17


    thumb_up0 voto/sflag
  • icon

    Roberto
    el 5/3/17

    Ayuda con este ejercicio:


    replythumb_up0 voto/sflag
    icon

    Guillem De La Calle Vicente
    el 5/3/17


    thumb_up0 voto/sflag
    icon

    Guillem De La Calle Vicente
    el 5/3/17


    thumb_up0 voto/sflag
    icon

    Guillem De La Calle Vicente
    el 5/3/17

    Y si se considera un sistema de inecuaciones: la solucion del sistema es (-1,0)U(1,+infinito)

    thumb_up0 voto/sflag
  • icon

    Roberto
    el 5/3/17

    Ayuda con este ejercicio:


    replythumb_up0 voto/sflag
    icon

    Guillem De La Calle Vicente
    el 5/3/17


    thumb_up0 voto/sflag
    icon

    Guillem De La Calle Vicente
    el 5/3/17


    thumb_up0 voto/sflag
    icon

    Guillem De La Calle Vicente
    el 5/3/17

    Y si se considera un sistema de inecuaciones: la solucion del sistema es todos los valores de x entre (-2,3) menos el -5/3.


    thumb_up0 voto/sflag