Hola muy buenos días , podrían ayudarme con este problema de semejanza , Demostrar que el triangulo cuyos vértices son los puntos medios de los lados de un triángulo dado es semejante al triangulo dado

Puedes plantear una tabla de valores tiempo (en minutos)-posición (en Km).
t x
0 0 partida
60 18 primera etapa cumplida
120 18 + 16 = 34 segunda etapa cumplida
135 34 periodo de atención médica cumplido
165 34 + 7 = 41 tercera etapa cumplida
175 41 periodo de descanso cumplido
180 41 + 1 = 42 maratón cumplida
Luego, observa que por cada línea de la tabla corresponde un tramo recto en el gráfico cartesiano tiempo (en minutos)-posición (en kilómetros):
primer tramo: desde (0,0) hasta (60,18),
segundo tramo: desde (60,18) hasta (120,34),
tercer tramo: desde (120,34) hasta (135,34),
cuarto tramo: desde (135,34) hasta (165,41),
quinto tramo: desde (165,41) hasta (175,41),
sexto tramos: desde (175,41) hasta (180,42),
observa que a los periodos de detención le corresponden tramos rectos horizontales, y que a los periodos en movimiento le corresponden tramos rectos inclinados (te dejo la tarea de realizar el gráfico).
Luego, observa que la función tiene dominio: D = [0,180], y recorrido: I = [0,42],
observa que la función es continua en todo su dominio (su gráfica no tiene interrupciones),
y observa que es:
creciente en: (0,120) u (135,165) u (175,180), y
constante en: (120,135) u (165,175), y
presenta puntos notables en:
los putos extremos: (0,0) y (180,42), y
en las uniones entre tramos: (60,18), (120,34), (135,34), (165,41) y (175,41).
Espero haberte ayudado.
Buenos días,
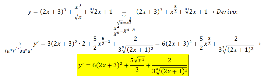
En este caso, he marcado con naranja -2^x + que yo lo quitaría y dejaría un = y luego la potencia de X^2 en naranja no me cuadra
porque se supone que digo que y prima = derivada del primero por la segunda sin derivar + la segunda derivada pro la primera sin derivar. (y esto está, pero luego viene la primera marca en naranja. y no entiendo porque continua como lo hace hasta el final.