Foro de preguntas y respuestas de Matemáticas

logo beUnicoos
Los foros de unicoos se han unificado en nuestra nueva plataforma beUnicoos. Para dejar nuevas preguntas deberás hacerlo allí, donde además podrás encontrar nuevas asignaturas y herramientas para ayudarte más con tus estudios.

  • icon

    Alvaro
    el 5/3/17

    b/c (c/b:a - a:c/b) : b/a


    no me sale... Gracias 

    replythumb_up1 voto/sflag
    icon

    Guillem De La Calle Vicente
    el 5/3/17

    Pasa foto del enunciado original, por favor


    thumb_up0 voto/sflag
    icon

    Alvaro
    el 5/3/17

    es simplificar la siguiente expresión 


    thumb_up0 voto/sflag
    icon

    Guillem De La Calle Vicente
    el 5/3/17


    thumb_up0 voto/sflag
  • icon

    Elizabeth Guillen
    el 5/3/17

    Pruebe si f(x)= √x(2-x) posee un extremo relativo en x= 2/3. Obtenga la ecuacion en la recta tg a f , x0= 1

    replythumb_up2 voto/sflag
    icon

    Antonio
    el 5/3/17

    Para el cálculo de los extremos relativos debes derivar la función, igualar el resultado a cero, resolver la ecuación.


    thumb_up0 voto/sflag
  • icon

    Claudia
    el 5/3/17

    ¿Como se hace ese ejercicio?

    replythumb_up1 voto/sflag
    icon

    Antonio
    el 5/3/17

    Una matriz cuadrada admite inversas si su determinante no es nulo.

    Por lo tanto, debes hallar el determinante de A en función de x, igualar el resultado a cero y resolver la ecuación.

    La solución al primer apartado sería: La matriz admite inversa para todo valor de x que no sea ±√5

    El segundo apartado se resuelve sustituyendo la x por 3 y calculando la inversa a esa matriz. 

    thumb_up1 voto/sflag
    icon

    Antonius Benedictus
    el 5/3/17


    thumb_up0 voto/sflag
  • icon

    Valentina Villegas Picazo
    el 5/3/17

    Buenos días unicoos , este es un ejercicio de matemáticas , no se por donde empezar, pero supongo que tiene que ver algo con funciones , en este caso lineal , pues es el tema que estamos viendo, gracias de antemano, les dejo el enunciado original:

    20 litros de una solución contienen 20% de cierta sustancia química ¿Que cantidad de agua debe agregarse para que la solución restante contenga 15% de la sustancia química?

    replythumb_up1 voto/sflag
    icon

    Antonius Benedictus
    el 5/3/17


    thumb_up1 voto/sflag
  • icon

    Ana
    el 5/3/17

    Antonio Benito, ayúdame con este ejercicio por favor. 

    No entiendo el procedimiento de esa página.


    replythumb_up0 voto/sflag
    icon

    Antonius Benedictus
    el 5/3/17


    thumb_up0 voto/sflag
    icon

    Ana
    el 5/3/17

    ¡Muchísimas gracias Antonio!

    thumb_up0 voto/sflag
  • icon

    Paola
    el 5/3/17

     Buenas tardes, mi duda es acerca del apartado b del ejercicio, el señalado. Para calcular el plano que me piden tengo dos vectores directores del plano (el de la recta y el característico del plano que me dan), pues bien, a la hora de hacer el determinante con los dos vectores y el punto, el punto sé que debe ser un punto de la recta, pero a la hora de dar valores a una de las incógnitas para resolver el sistema, me da que todas son 0, y me estoy liando bastante. No sé en qué  fallo. Muchas gracias !

    replythumb_up0 voto/sflag
    icon

    Antonius Benedictus
    el 5/3/17


    thumb_up1 voto/sflag
  • icon

    Hanna
    el 5/3/17

    ¿alguien me puede ayudar en este ejercicio?

    35-representa la parabola y=-3x al cuadrado.A partir de ella dibuja la parabola y=-3x al cuadrado +4.De esta:

    A-Escribe el eje de simetría.

    B-¿Cuándo es creciente?¿Y decreciente?

    C-Escribe el vértice y di si es máximo o mínimo.

    D-¿Es Convexa o Cóncava?


    replythumb_up0 voto/sflag
    icon

    Antonius Benedictus
    el 5/3/17


    thumb_up0 voto/sflag
  • icon

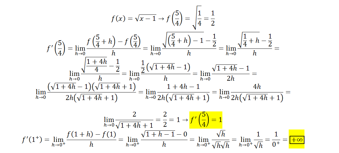
    Elizabeth Guillen
    el 5/3/17

    Hallar la derivada de f(x) = √x-1 en x0= 5/4 y x0= 1 a partir de la definicion, interpretar resiultados. 

    Ayuda!!


    replythumb_up0 voto/sflag
    icon

    Antonius Benedictus
    el 5/3/17


    thumb_up0 voto/sflag
  • icon

    Carlos Ojeda
    el 5/3/17
    flag

    Hola, Quisiera preguntar al profesor Antonio cómo se quitan los 1 1 de x4 y x5 para que aparezcan los números que aparecen en la segunda diapositiva, en las diapositivas están señaladas mis dudas.Gracias

    replythumb_up0 voto/sflag
    icon

    Antonius Benedictus
    el 5/3/17

    Lo sentimos, Carlos. La  programación lineal de más de 2 variables excede las competencias de unicoos. 

    thumb_up1 voto/sflag
  • icon

    Ana
    el 5/3/17

    Averiguar, factorizando previamente numerador y denominador, si es posible simplificar las siguientes fracciones algebraicas:


    replythumb_up0 voto/sflag
    icon

    Antonius Benedictus
    el 5/3/17

    https://es.symbolab.com/solver/step-by-step/%5Cfrac%7B%5Cleft(2x%5E%7B3%7D-x%5E%7B2%7D-8x%2B4%5Cright)%7D%7Bx%5E%7B3%7D%2B8%7D

    thumb_up0 voto/sflag
    icon

    Ana
    el 5/3/17

    Me sale algo sobre una derivada.

    thumb_up0 voto/sflag