Buenos días! mañana tengo examen de geometría en el plano y no tengo muy bien asumidos los conceptos como producto escalar,vectorial, vector normal,etc. (para que sirven). Alguien sabe de alguna web o vídeo en el cual te expliquen esto? Gracias!
busca en www.vitutor.com, la materia se explica en forma clara y tienen ejercicios resueltos
Hola, buenos días:
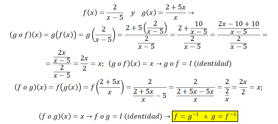
Tengo una duda. En este problema solucionado dice que obtenga un vector perpendicular a los vectores BA y BC, yo lo he hecho con el producto vectorial y me ha dado (-2, 0, 4). ¿Eso es el vector paralelo a los dos vectores?
Además tampoco entiendo por qué multiplica el vector entre su módulo. ¿Para qué hace eso y por qué le da ese resultado?
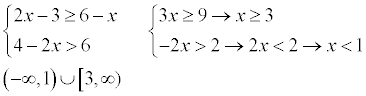
No encuentro ningun video sobre inecuaciones, alguien sabe donde esta o si puede mandarme el enlace??
Esto son todos los vídeos de inecuaciones que hay en la página
http://www.unicoos.com/video/matematicas/1-bachiller/inecuaciones/inecuaciones/inecuaciones-02
http://www.unicoos.com/video/matematicas/1-bachiller/inecuaciones/inecuaciones/inecuaciones-01
Hola, tengo una pregunta sobre trigonometría. Para calcular las razones trigonométricas de un ángulo cualquiera, como se que fórmula tengo que usar?
Por ejemplo, hay un ejercicio resuelto en el libro en el que me pide las razones trigonométricas de tg(-210º) y dice que es -tg(30º). No entiendo por que hay que usar la fórmula de (180º + α) si está en el 3er cuadrante.
Un saludo, gracias