Buenos días.
Este ejercicio, no me queda bien claro porque multiplico tanto y de porque en el primer paso se tacha el exponente raíz y luego continúa el desarrollo con el exponente raíz.
Por favor, necesito una explicación.
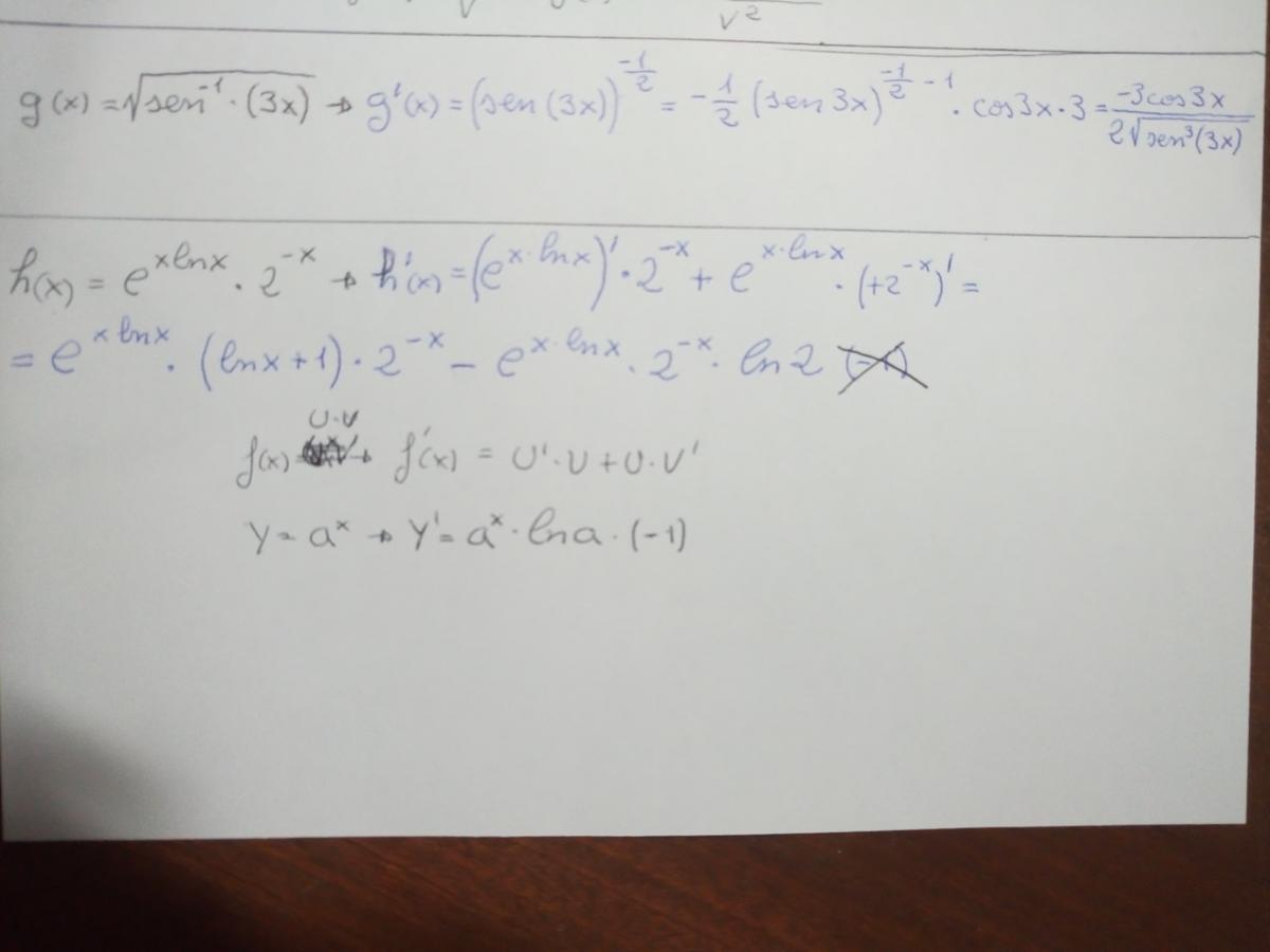
Buenos días,
para la función g(x) me gustaría poder tener una breve explicación desde ·cos3·3= en adelante y,
para la función h(x) en la formula del vídeo pone que la derivada de Y=ax donde y`=ax · lna · ¿(-1?
este (-1) en el desarrollo final de h(x) desaparece y me gustaría tener una breve explicación .

Sabe, puedo memorizar a base de practica los concceptos de cada ejercicio y así ir logrando ideas generales para las diferentes convinaciones, o así lo estoy creyendo...
pero lo cierto es que, a pesar de tener el ejercicio resuelto y, las formulas anotadas junto a las de f(x) = U`· V · U · V` no consigo identificar las formulas que usted me da para este ejercicio y,
empieso a pensar de que aún debo de repasar algo que se me está escapando.
¿Puede decirme algo respecto a esto por favor?
gracias Antonio
Me ayudan con este sistemas de ecuaciones (es sobre matrices), tengo usar Crammer o Gauss y ya intente resolverlos de esas dos formas pero no me sale..
2x+6y-4z=1 3y+x-2z=4 y-3z+2x=-7
hola, una consulta, tengo que resolver este integral ∫(Ι2x+1Ι)+(Ιx+1Ι)
para eso planteé 5 integrales, que van desde -1 a -2.∫(-2x-1)-(-x-1) .... (-2/3;-1)∫((-2x-1)+(-x-1)) .. (-1/2;-2/3) ∫(x+1)-(-2x-1) ..(0;-1/2)∫((x+1)-(2x+1)) ..(2;0)∫(2x+1)-(x+1)..
para eso descompuse los valores absolutos, grafiqué y mire entre que valores la función cambiaba su comportamiento ya su vez en que valor de x cambiaba la ecuación del valor absoluto. Gracias