Foro de preguntas y respuestas de Matemáticas

logo beUnicoos
Los foros de unicoos se han unificado en nuestra nueva plataforma beUnicoos. Para dejar nuevas preguntas deberás hacerlo allí, donde además podrás encontrar nuevas asignaturas y herramientas para ayudarte más con tus estudios.

  • icon

    Blanca
    el 4/3/17

    hola,podria encontrar un "remix" de problemas con ecuaciones de primer y segundo grado?puedo acceder a una autoevaluacion?soy nueva aqui,graciaas


    replythumb_up1 voto/sflag
    icon

    Sergi Raga Estruch
    el 4/3/17

    Si, porfavor

    thumb_up0 voto/sflag
    icon

    Axel Morales Piñón.
    el 5/3/17

        Si eres unicoo PRO sí Blanca, podrás acceder a las evaluaciones.

    thumb_up0 voto/sflag
  • icon

    daniel mayo
    el 4/3/17

    hola, ayuda con una integral

     ∫x^(9)√(6-3x^(5))dx

    replythumb_up0 voto/sflag
    icon

    Antonius Benedictus
    el 5/3/17


    thumb_up0 voto/sflag
  • icon

    Olga
    el 4/3/17

    Buenas, ¿alguien podría decirme cómo se hacen estos ejercicios? Muchas gracias!

    replythumb_up0 voto/sflag
    icon

    Guillem De La Calle Vicente
    el 4/3/17

    ¿Qué has probado? ¿Dónde te quedaste atascado? Por favor, no nos pida que hagamos sus deberes para usted.

    thumb_up0 voto/sflag
    icon

    Olga
    el 4/3/17

    No son mis deberes, tengo un examen y no tengo ni idea de cómo hacer estos 2 ejercicios porque no los entiendo bien. No pondría por aquí ningún mensaje para que alguien haga mi tarea.

    thumb_up0 voto/sflag
    icon

    Ángel
    el 5/3/17

    Si tienes dudas algo más concretas intentaremos ayudarte, entiende que hacer esos ejercicios por completo es muy tedioso y además son de nivel universitario (Unicoos generalmente abarca hasta bachiller)


    thumb_up1 voto/sflag
    icon

    Antonius Benedictus
    el 5/3/17


    thumb_up0 voto/sflag
  • icon

    SN1P3R23023
    el 4/3/17

    Halla, en cada caso, la ecuación de la recta que pasa por el punto P (1, –3) y es:

    a) Paralela a la recta 2y – 3 = 0. 

    b) Perpendicular a la recta x + 5 = 0.

    He buscado vídeos y no encuentro este caso en concreto. Es el vector director de a) (0,2) y el de b) (1,0)? Como continuo el ejercicio?

    Gracias 

    replythumb_up0 voto/sflag
    icon

    Guillem De La Calle Vicente
    el 4/3/17


    thumb_up0 voto/sflag
  • icon

    Lili
    el 4/3/17

    Buenas noches, necesito ayuda con esta integral:

    ∫1/(x2+1)2

    Me da la sensación de que es sencilla, pero no sé que hacer, había pensado en separarla en dos pero ni idea. Gracias

    replythumb_up0 voto/sflag
    icon

    Axel Morales Piñón.
    el 4/3/17

    Por fracciones parciales Alicia.

    thumb_up1 voto/sflag
  • icon

    Melina
    el 4/3/17

    Hola alguien que me diga de donde puedo ver las propiedades de los paralelogramos? 

    replythumb_up0 voto/sflag
    icon

    Antonius Benedictus
    el 4/3/17

    http://definicion.de/paralelogramo/

    thumb_up0 voto/sflag
  • icon

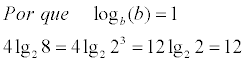
    leonardo
    el 4/3/17

    4 log2  8=  4*3=12?? porque asi?

    replythumb_up0 voto/sflag
    icon

    Ángel
    el 4/3/17

    4*(log2 8)= 4*(log223)= 4*(3*log22)=4*(3*1)= 12


    thumb_up0 voto/sflag
    icon

    César
    el 4/3/17


    thumb_up0 voto/sflag
  • icon

    Adrián
    el 4/3/17

    Hola, buenas tardes:

    ¿Cómo se haría esta ecuación de números complejos?


    Por cierto. ¿De qué manera puedo operar una operación como esta? :(5 + √3 i)5 ? No estoy seguro pero creo que hay otro método para operar que no sea el binomio de Newton.

    replythumb_up0 voto/sflag
    icon

    Antonius Benedictus
    el 4/3/17


    thumb_up1 voto/sflag
    icon

    Antonius Benedictus
    el 4/3/17

    Tal como está, el binomio de Newton, pues no queda "sencillo" en forma polar.

    thumb_up1 voto/sflag
    icon

    Adrián
    el 4/3/17

    Muchísimas gracias


    thumb_up0 voto/sflag
  • icon

    Marcos
    el 4/3/17





    Hola tengo dudas para resolverlo con polares. 


    0≤r≤1

    0≤θ≤π



    Esos valores estan bien?Encima cuando lo resuelvo da 0. Para mi está bien que de 0 porque son dos regiones que se cancelan una con la otra. Pero es lo que supongo. Desde ya muchas gracias

    replythumb_up0 voto/sflag
    icon

    Antonius Benedictus
    el 4/3/17


    thumb_up0 voto/sflag
  • icon

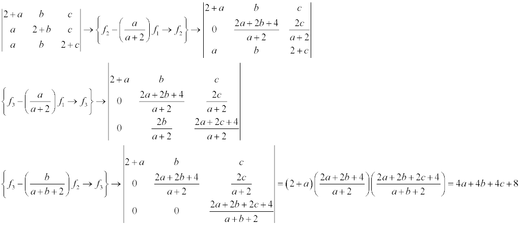
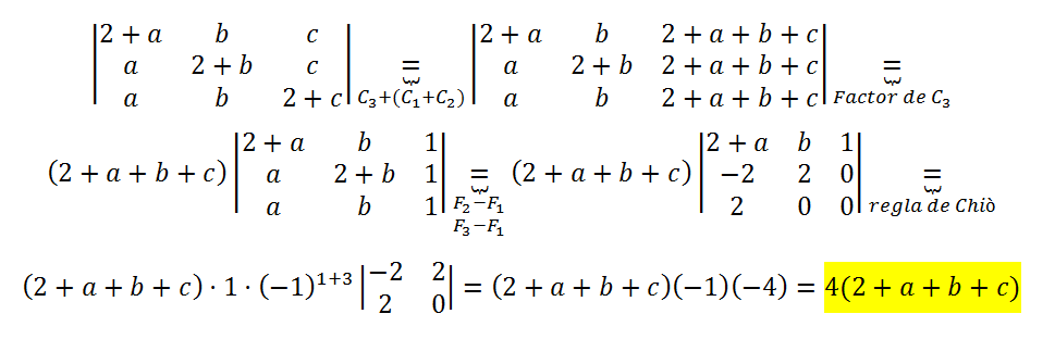
    abc
    el 4/3/17

    Podríais ayudarme con este ejercicio?Muchas gracias


    replythumb_up0 voto/sflag
    icon

    Antonius Benedictus
    el 4/3/17

    Espero que coñezas ben as propiedades dos determinantes. Se tes algunha dúbida, xa sabes:


    thumb_up2 voto/sflag
    icon

    César
    el 4/3/17


    thumb_up2 voto/sflag