Hola. Resulta que me han colocado un ejercicio dividido en dos partes, del cual he podido solo resolver el inciso a), pero el inciso b) no lo logro entenderlo.
-El gradiente permite determinar la dirección de mayor crecimiento de una función escalar que dependa de su posición en un espacio de tres dimensiones, ∇ f(x, y, z)
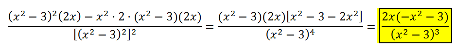
a) Encuentre el gradiente de la función magnitud del vector posición r = √(x² + y² + z² )
El gradiente de la función es: (x/√( x² + y² + z²)),(y/√( x² + y² + z²)),(z/√( x² + y² + z²))
b) ¿En qué dirección se incrementa más rápidamente la distancia? ¿Como lo resuelvo?
Gracias por su ayuda.

Observa que la función f: "magnitud del vector posición" es diferenciable en su dominio: D = R3 - {(0,0,0)}, ya que sus derivadas parciales son continuas para todo punto de dicho conjunto.
Luego, has visto en clase el teorema que dice que la derivada direccional de una función diferenciable en un punto P0 de su dominio en la dirección de un vector unitario u puede escribirse:
Duf(P0) = ∇f(P0) • u = desarrollamos el producto escalar (indicamos con θ el ángulo entre el gradiente y el vector unitario):
= || ∇f(P0) || * || u || * cosθ = reemplazamos el valor del módulo del vector unitario dirección = || ∇f(P0) || * 1 * cosθ = || ∇f(P0) || * cosθ.
Luego, para que la derivada direccional sea máxima planteamos: cosθ = 1, que corresponde a: θ = 0, reemplazamos en la expresión remarcada y queda:
Duf(P0) = || ∇f(P0) || * 1 = || ∇f(P0) ||, que es el valor máximo de las derivadas direccionales,
y como el ángulo determinado por el vector unitario y el gradiente es igual a cero, tenemos que éstos vectores son colineales en el punto P0, por lo que tenemos:
u = ∇f(P0) / || ∇f(P0) ||, que es la dirección de máximo incremento de la función en el punto P0 perteneciente al dominio de la función.
Espero haberte ayudado.
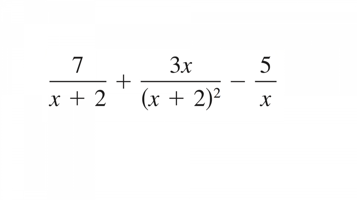
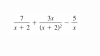
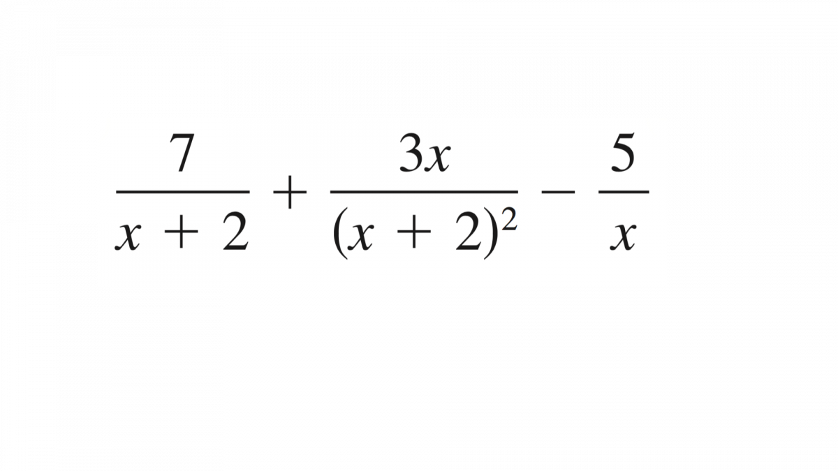
Antonio Benito, te envío mi trabajo. Sé que es poco, pero tengo bastantes problemas con este tema. Cada vez que veo fracciones me asusto. Gracias de antemano. Un saludo.

Paula lo que te aconsejo es que veas videos o le preguntes a tu profesor, porque tus dudas no son dudas puntuales.
Te aconsejo empezar por este.

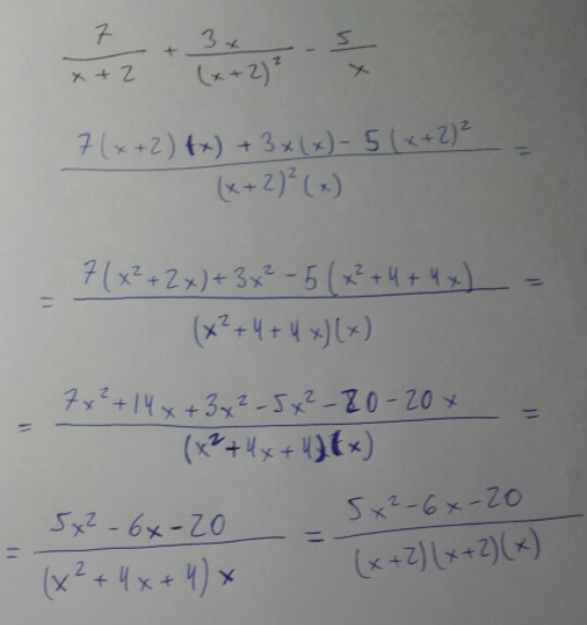
Puedes tratar cada término por separado, multiplicando y dividiendo por los factores que completan el mínimo común múltiplo entre los denominadores.
7/(x + 2) = multiplicamos y dividimos por x(x+2) = 7x(x + 2) / x(x + 2)2,
3x/( x + 2)2 = multiplicamos y dividimos por x = 3x2 / x(x + 2)2,
5/x = multiplicamos y dividimos por (x+2)2 = 5(x + 2)2 / x(x + 2)2,
luego, pasamos a la expresión algebraica del enunciado:
7/(x + 2) + 3x/( x + 2)2 - 5/x = sustituimos las expresiones de los términos:
= 7x(x + 2) / x(x + 2)2 + 3x2 / x(x + 2)2 - 5(x + 2)2 / x(x + 2)2 = extraemos denominador común (observa que los tres denominadores son iguales):
= ( 7x(x + 2) + 3x2 - 5(x + 2)2 ) / x(x + 2)2 = distribuimos y desarrollamos el numerador:
= ( 7x2 + 14x + 3x2 - 5x2 - 20x - 20 ) / x(x + 2)2 = reducimos términos semejantes y ordenamos términos en el numerador:
= (5x2 - 6x - 20) / x(x + 2)2.
Espero haberte ayudado.