Elimina raíces del denominador de las expresiones que aparecen a continuación. Lo necesito lo más desarrollado posible. Gracias de antemano.

Antonio, repasando el primer ejercicio me surgen varias dudas.
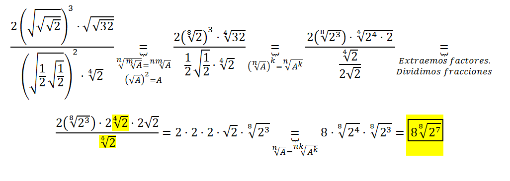
1.-) ¿Qué relación hay entre (√A)2=A y el cuadrado de esas raíces? ¿Cómo obtienes 1/2 √1/2?
- Subrayado en rojo-
2.-) ¿Cómo se dividen esas fracciones?
- Subrayado en azul-
3.-) ¿De dónde sale la parte qué está subrayada en amarillo? ¿Y 2√2?
4.-) Por último, antes de la solución, ¿por qué la raíz tiene índice 8? ¿De dónde sale 24?
Gracias de antemano.
Buenos días! Ante todo enhorabuena por tu trabajo y por los reconocimientos que estás obteniendo a partir de el. Estoy estudiando matemáticas y me surgen dudas con las ecuaciones diofánticas cuadráticas, no se si es posible que pudieras subir algún video que pudiera ayudarme, Muchísimas gracias de antemano.

Me encantaría ayudarte, pero no respondo dudas universitarias que no tengan que ver específicamente con los videos que ya he grabado como excepcion. O de otras asignaturas que no sean matemáticas, física y química. Lo siento de corazón… Espero lo entiendas
Ojalá algun unicoo universitario se anime a ayudarte (de hecho lo ideal es que todos los universitarios intentarais ayudaros los unos a los otros)
Hola, si alguien pudiera ayudarme con esta integral. Gracias!
∫ [(lnx)^2]/x dx
![]()
Buenas! Tengo dudas en unos ejercicios que no me salen de integrales, no se si alguien puede ayudarme.
Son las que están señalizadas con un círculo.
8.7) integral del ln(-x)dx
Esta integral se resuelve por partes
u= ln(-x) v'= dx
u'= (1/x)dx (derivada del ln es derivada de la funcion entre la funcion, en nuestro caso seria:(derivada de -x)/-x = 1/x) v=x
la integral seria igual a: ln(-x)*x - integral de (1/x)*x dx
simplificando nos quedaria ln(-x)*x - integral de 1*dx
finalmente el resultado seria ln(-x)*x - x + C
espero haberte ayudado, saludos :)