Hola! Alguien podría recomendarme algún vídeo para aprender a eliminar esta indeterminación? Es claramente una falta de bases, pero es que no sé si puedo aplicar el mismo método de factorización que con las raíces...
lim (2x^3-3x^2)/(x^2+x)
x tiende a 0
Gracias de antemano!
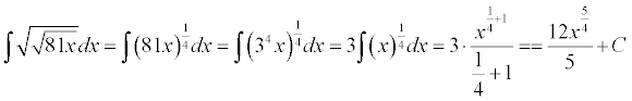
Hola me podrían ayudar con este ejercicio es una integral indefinida.
∫√(√81x) =
La he querido resolver con esta propiedad ∫ f * f´ = f ^ n +1 / n+1 muchas gracias
Hola.
Veamos.
Lo que tenemos que hacer primero es descomponer la raiz. ∫√√81x dx = ∫ √√81 √√x dx
Ahora.:
La raíz cuadrada de 81 es 9. Porque 9*9 es 81. Luego la raíz cuadrada de 9 es 3. Porque 3*3 es 9. Entonces √√81= 3
Y luego √√x = 4√x (raiz cuarta de x)
Entonces nos queda ∫34√x dx
Usamos la propiedad de la constante, el 3 sale fuera de la integral y queda: 3∫4√x dx = 3∫ x1/4
Usamos la propiedad que decís vos: 3 (x5/4)/(5/4)= 12(x5/4)/5 +C
Hola buenas!
Alguien sabe si hay vídeos de cálculo de asíntotas paso a paso para 1º Bachillerato en unicoos? Es que los que he encontrado son ya para gente que ya ha empezado a estudiarlas.
Gracias de antemano!
Resuelve completando el cuadrado:
4x2-12x-11=0
4x2+20x+13=0
http://es.wikihow.com/completar-el-cuadrado
Esa es otra forma por si no has entendido la anterior. Esta es un poco mas larga. Pero bueno capaz que la entiendas mejor.
Factoriza completamente:
x93-1
3x3-27x