Hola podéis explicarme los sistemas de ecuaciones no lineales
Hola podeis explicarme que significa la expresión y=f(x)?
Graciasl
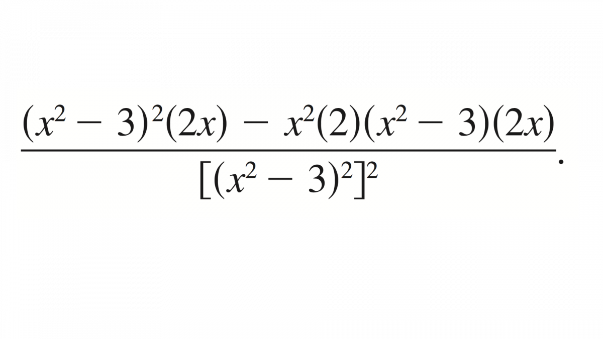
como puedo resolver este ejercicio de ecuaciones diferenciales (ln y´´´+cot(y+3)+1)(y´´-20x)

Me encantaría ayudarte, pero no respondo dudas universitarias que no tengan que ver específicamente con los videos que ya he grabado como excepcion. O de otras asignaturas que no sean matemáticas, física y química. Lo siento de corazón… Espero lo entiendas
Ojalá algun unicoo universitario se anime a ayudarte (de hecho lo ideal es que todos los universitarios intentarais ayudaros los unos a los otros)
Unicooos! Alguien que me ayude con este problema de probabilidad.
Un sistema puede experimentar 3 tipos distintos de defectos (tipos 1, 2 y 3). Defina los eventos A1, A2, A3, asociados a tener los defectos tipo 1, 2 y 3 respectivamente. Suponga que:
P(A1) = 0.12 P(A2) = 0.07 P(A3) = 0.05 P(A1∪ A2) = 0.13 P(A1∪ A3) = 0.14 P(A2∪ A3) = 0.10 P(A1∩A2∩A3) = 0.01
¿Cuál es la probabilidad de que el sistema tenga defectos tanto de tipo 1 como de tipo 2?
¿Cuál es la probabilidad de que el sistema tenga a lo sumo dos de estos defectos?
Gracias!
P.D.: Si alguien sabe de alguien que de asesorías de probabilididad, le agradezco me pasen el contacto.